기 호 설 명
1. 서 론
2. 연구 방법
2.1 실험적 접근
2.2 수치적 접근
3. 결과 및 논의
3.1 가연한계 선도
3.2 암모니아 전소 화염 거동
3.3 미분탄-암모니아 혼소 화염 거동
3.4 비반응장 유동 및 혼합 특성 분석
4. 결 론
기 호 설 명
S : Swirl number
G𝜙 : Angular momentum flux [kg·m2/s2]
Gx : Axial momentum flux [kg·m/s2]
R : Burner exit radius [mm]
ṁsw : Mass flow rate through the swirler ports [kg/s]
usw : Tangential velocity at the swirler exit [m/s]
Rsw : Tangential injection radius of the swirler [mm]
𝜌sw : Density of swirler injection flow [kg/m3]
Asw : Tangential injection area of the swirler [m2]
𝜌ax : Density of axial inlet flow [kg/m3]
Aax : Axial injection area [m2]
uax : Axial inlet velocity [m/s]
𝜌pf : Density of the flow through the perforated plate [kg/m3]
Apf : Effective flow area of the perforated plate [m2]
upf : Average velocity through the perforated plate [m/s]
1. 서 론
산업화로 인한 화석연료의 지속적 사용은 과도한 온실가스 배출을 초래하여 기후 위기를 야기하고 있다. 발전 부문 측면에서 석탄화력발전은 2020년 기준, 전 세계 에너지 부문 CO2 배출량의 약 27%를 차지할 만큼 대규모 탄소배출의 주요 원인 중 하나로 명시된다[1,2]. 발전 부문 2030 NDC 달성을 위해 석탄화력발전에서 탄소배출 저감이 필수적이며, 이에 대한 방안으로 암모니아와 같은 무탄소 연료를 혼소하는 방법이 부각되고 있다. 특히 석탄화력이 주 발전원인 한국, 중국, 일본 등을 중심으로 최근 많은 연구들이 수행되고 있다. 암모니아 20% 혼소기술은 일본에서 선도적으로 개발하여 현재 JERA 헤키난 1000 MW 발전소에 실증 테스트가 완료된 상태이다[3]. 국내에서는 2020년 한국에너지기술연구원 등 정부출연연구소에서 정부 예산이 투입되어 개발이 시작되었고, 한국전력, 두산에너빌리티 등 민간 자본이 투입되어 기술개발이 진행되었다. 또한 2023년 4월 한국에너지기술평가원을 연구전담기관으로 2027년까지 신보령화력, 당진화력 등 1000 MW USC급 보일러에 실증을 완료할 수 있도록 연구사업이 진행 중이다.
태양광 등 재생에너지 설비 용량이 급격히 증가함에 따라, 석탄화력발전 운영 관점에서 연료전환 이슈와 함께 출력 변동 대응이 주요 과제로 부각되고 있다. 한 예로, 미국 캘리포니아 ISO의 계통 분석 결과에 따르면 2012년 대비 2025년까지 태양광 발전 설비의 확충으로 일일 전력 공급 곡선에서 6-21시 사이 발전량이 약 10 GW 증가하였다. 태양광 발전 비중이 확대됨에 따라 주간 시간대의 잉여 전력과 일몰 시 급격한 부하 변화 구간이 발생하며, 이 현상은 ‘덕 커브(duck curve)’로 정의된다. 이러한 전력계통의 시간별 수요-공급 불균형은, 기저부하 운전을 전제로 설계된 석탄화력 시스템의 유연 운전 필요성을 보여준다. 국내 역시 올해 여름 낮 시간대에 태양광 발전량이 기존 기저부하의 발전량에 가까운 전력을 생산한 사례가 있다. 이에 따라 석탄화력발전은 재생에너지 비중 확대에 대응할 수 있는 부하 변화 운전 체계로의 구조적 전환이 요구된다[4,5,6,7].
석탄화력 발전시스템이 암모니아 혼소 시스템으로 전환된 상황에서도 재생에너지 발전량의 급격한 증가는 혼소 시스템의 부하 변화를 요구할 수 있다. 이 상황이 도래하였을 때, 미분탄-암모니아 혼소 시스템에서 유연한 출력 감발을 위해 연료량 제어가 필요할 것으로 예상된다. 고체(미분탄)/기체(암모니아) 연료 혼소 시 정확하고 원활한 출력 제어를 위해서는, 미분기가 관여하는 고체 연료의 유량 제어보다 기체 연료의 유량 제어가 수월하며 상대적으로 간단한 제어 로직을 가질 것으로 기대된다. 암모니아는 탄화수소 연료인 메탄 대비 약 1/5, 수소 대비 약 1/41의 연소 속도를 가진다[8]. 타 연료에 비해 낮은 암모니아 연소 반응성은 화염 불안정성 문제를 발생시킬 수 있으며, 설계된 혼소 버너의 정격 부하보다 낮은 부하 조건에서는 이보다 더 낮은 불안정성을 야기시킬 수 있다.
암모니아 연료의 전소, 그리고 타 연료와 혼소 상황에서 화염의 안정성을 상향시키고자 하는 연구 사례는 다음과 같다. Tu 등[9]은 스월러(선회유동 발생 장치)와 블러프 바디(화염 안정화기) 하드웨어 구조를 활용하여 암모니아-메탄 혼합 연료의 화염 안정성 및 배기가스 특성을 연구하였다. 혼소율 변화에 따라 수행되었으며, 최종적으로 암모니아 100% 상황에서도 안정화된 연소가 가능함을 실험/해석적으로 연구하였다. Lee 등[10]은 고선회 접선 분사 연소기를 사용하여 순수 암모니아의 당량비와 출력 변화에 따른 안정화 선도를 실험적으로 도출하였다. 강한 스월 유동에 의해 형성된 내부 재순환 영역과 빠른 혼합이 결합되어, 고온 연소가스의 현열이 화염의 근원부로 재공급되며 안정적인 화염을 구현하였다. Liu 등[11]은 산업 규모의 low-NOx 스월 버너를 대상으로 암모니아–미분탄 혼소 시 주입 위치와 혼소율에 따른 화염 구조 변화를 수치적으로 분석하였다. 특히 버너 중심관에서 공기 주입 시 선회 화염이 직진성을 가진 긴 화염으로 전환되며, 암모니아 열분해가 우세해져 NO 생성이 크게 억제된다는 점을 제시하였다.
본 연구는 기체 연료 간 혼소 환경에서 실험적으로 연소 특성을 살펴본 기존 연구 사례를 넘어서, 미분탄-암모니아 혼소 환경에서 부하 변화에 따른 연소 특성을 분석하고자 한다. 주요 관점은 혼소 버너의 부하 변화 조건에서 스월 구조 변화가 화염 안정성에 미치는 영향을 실험적으로 규명하였다. 기존 미분탄 연소 버너의 설계 개념(구조)을 반영하여 기초 랩-스케일 규모의 미분탄-암모니아 혼소 연소기를 제작하였고, 노즐 개수 및 주입 위치가 다른 스월러 하드웨어를 모듈식으로 교체할 수 있도록 설계하였다. 스월러 구조의 연소 영향성을 정량적으로 비교하기 위해, 각 조건에서 부하 변화 시 화염 구조, 겉보기 복사 강도, 석탄 입자 온도를 측정하였다. 마지막으로 수치적 기법을 활용하여 스월러 형상 및 부하 변화에 따른 비반응장 내 유동 패턴, 국부 난류 화염 영역, 혼합 균일도를 분석하여 실험 데이터의 근거로 활용하였다.
2. 연구 방법
2.1 실험적 접근
2.1.1 실험 장치 개념도
Fig. 1은 본 실험 장치의 개략도를 보여준다. 연소기 형상은 현재 운용되는 미분탄 버너의 구조 개념을 반영하여, 중심관에 미분탄과 이송(1차)공기가 주입되고, 동심축을 중심으로 2차, 3차 공기가 주입되는 구조를 가진다. 암모니아는 미분탄 공급관과 함께 주입되거나, 스월러를 통과하는 3차 공기와 함께 주입되는 구조를 가진다. 이는 화염 고정, 반응 체류시간 확보, 그리고 암모니아/공기 혼합 강화의 목적으로 설계되었다.
스월러는 모듈 형식으로 제작하여 설계 조건을 쉽게 변경하고자 하였다. 버너 노즐 중심관에 유량이 검증된 일정한 미분탄 유량이 이송되며(1/4 in), 균일 공기 분사 및 암모니아 혼합 유도를 위한 24개의 홀(d=1.5 mm)이 존재하는 타공판 공기 공급구가 있다. 또한 암모니아를 축 방향으로 고속 분사 시 불안정성이 발생할 수 있어, 이를 보강하기 위한 반경 방향 암모니아 분사 노즐(d=1.5 mm × 8개)이 중심관에 존재한다. 연료와 산화제 간 혼합 강화를 위해, 공기와 암모니아가 예혼합되어 스월러 채널 입구로 주입되는 형태가 모듈형 스월러로 제작되었다.
화염 변동 특성의 가시화 및 정량적 관측을 위해 화염 가시화용 카메라(NIKON Z7II, 50 mm 표준 단렌즈)와 석탄 입자 온도 측정용 이색 파이로미터(CHINO IR-CZ, 400-2000℃)를 사용하였다. 해당 장비들은 석영관(h=200 mm, i.d.=75 mm)으로부터 500 mm 떨어진 지점에 설치하여 부하 변화(1–5 kWth, 20-100%)에 따른 화염 거동을 관찰하였다. 미분탄 입자는 고체 입자 특성상 자체적으로 연소되며 주위 유동 패턴을 따라 거동하기 때문에 이를 통한 유동 특성도 함께 관찰할 수 있었다[12].
2.1.2 미분탄 피더의 유량 검증
미분탄은 Fig. 2와 같이 자체 설계·제작한 스크류 타입 피더를 통해 공급된다. 피더는 모터 구동식 회전 스크류를 이용하여 일정 질량의 미분탄을 지속적으로 공급하도록 설계되었으며, 회전속도 제어를 통해 공급 유량을 조절하였다. 유량 검증은 일정 시간 동안 배출된 미분탄의 질량을 계량하여 시간 대비 누적 질량 변화를 선형 회귀 분석한 결과, 평균 0.27 g/min(= 4.5×10-3 g/s)의 질량 유량이 산출되었다. Fig. 2(a)에서 보이듯이 측정값은 시간에 대해 우수한 선형성을 보였으며, 세 반복 시험 간 편차도 ±0.015 g/min 이내로 나타나 안정적인 공급 재현성이 확보되었다. 본 연구에 사용된 연료는 발전용 역청탄(bituminous coal)이며, 원소 및 공업분석치는 Table 1과 같다. 석탄 연료의 저위발열량(LHV ≈ 5,679 kcal/kg)을 적용하면 상기 질량 유량은 약 0.11 kWth의 열 투입량에 해당한다. 이는 피더가 설정된 회전속도 하에서 일정한 유량을 안정적으로 공급함을 정량적으로 보여준다.
Table 1.
Proximate and elemental analysis values of coal used in this study
2.1.3 실험 조건
스월 구조 변화에 따른 화염 안정성을 정량적으로 비교하기 위해, 모든 조건에서 동일한 가스 분배 체계를 유지하였다. 중심관으로 공급되는 1차 공기는 2 LPM으로 고정하였으며, 이는 미분탄 수송과 초기 착화 환경을 일정하게 유지하였다. 나머지 공기 유량은 동심 구조를 따라 2차·3차 공기로 분배하였고, 2차 공기는 전체 공기 유량에서 1차 공기 유량을 뺀 유량의 20%, 3차 공기는 동일 기준의 80%가 주입되도록 설정하였다. 이러한 비율은 기존 미분탄 버너의 공기 분배 특성을 반영하여, 구조적 혼합 패턴을 재현하기 위한 것이다. 암모니아 역시 두 경로로 분할하여 주입하였으며, 반경 방향 분사 노즐에는 전체 암모니아 유량의 70%를 공급하고, 나머지 30%는 스월러 채널 입구로 예혼합되어 유입되도록 설정하였다. 이는 암모니아의 낮은 연소 속도를 보완하기 위해 초기 혼합도를 확보하면서도, 일정 비율의 고속 분사 제트를 통해 접선 운동량을 부여하기 위한 설계이다.
실험 조건은 크게 순수 암모니아 연소와 미분탄–암모니아 혼소의 두 유형으로 나뉜다. 순수 암모니아 조건에서는 부하(Qth)에 따른 암모니아 및 공기 유량이 Table 2에 제시되어 있으며, 𝜙=1 조건을 모든 부하에서 동일하게 적용하였다. Table 3과 같이, 미분탄–암모니아 혼소 조건은 미분탄의 고정 질량 유량(0.11 kWth)에 암모니아 유량을 가변적으로 조절하였다. 두 조건 모두 동일한 공기 분배 비율 및 스월러 하드웨어 조건을 유지하여, 스월 구조 변화가 혼합·재순환·화염 안정성에 미치는 영향을 독립적으로 비교할 수 있도록 하였다.
Table 2.
Air and ammonia flow rates for pure ammonia combustion at different thermal loads (unit: LPM)
| Qth [kW] | Air (PA) | Air (SA) | Air (TA) | NH3 (PA) | NH3 (TA) |
| 1 | 2 | 2.3 | 10.6 | 2.9 | 1.3 |
| 2 | 2 | 5.0 | 22.9 | 5.9 | 2.5 |
| 3 | 2 | 7.7 | 35.1 | 8.8 | 3.8 |
| 4 | 2 | 10.4 | 47.3 | 11.7 | 5.0 |
Table 3.
Air and fuel flow rates for pulverized coal and ammonia co-firing at different thermal loads (unit: LPM)
|
Qth [kW] |
Air (PA) |
Air (SA) |
Air (TA) |
NH3 (PA) |
NH3 (TA) |
Co-firing ratio (thermal basis) |
| 1 | 2 | 2.4 | 11.2 | 2.6 | 1.1 | 0.89 |
| 2 | 2 | 5.1 | 23.4 | 5.5 | 2.4 | 0.95 |
| 3 | 2 | 7.8 | 35.7 | 8.5 | 3.6 | 0.96 |
| 4 | 2 | 10.5 | 47.9 | 11.4 | 4.9 | 0.97 |
2.1.4 스월러 형상 및 구성
Fig. 3은 본 연구에서 사용된 스월러 형상을 보여준다. 총 6종 스월러가 설계되었고, 하드웨어 구조의 단순화를 위해 접선 채널을 이용한 분사 방식을 적용하였다. 스월러 외경(30 mm), 내경(25 mm), 접선 채널과 스월러 중심축 사이의 거리(11 mm), 그리고 채널 직경(3 mm)은 모든 형상에서 동일하다. 스월러는 채널의 배치 위치와 개수에 따라 구분하였다. 채널 위치는 상부 또는 하부에 배치될 수 있으며, 채널 개수는 8, 6, 4개로 구성하였다. 따라서 조합에 따라 U-8, D-8, U-6, D-6, U-4, D-4의 명칭으로 정의하였다. 이러한 형상 구분은 스월 유동 강도 및 재순환 영역 형성에 미치는 기하학적 영향을 정량적으로 비교하기 위함이다. 스월수(S)는 유동의 각운동량 성분과 축방향 운동량 성분의 비를 나타내는 무차원수로서[13], 다음 식 (1)과 같이 정의된다.

Fig. 3.
Schematic of the swirler configurations. The notation U and D indicate the position of tangential channels. U (upper): channels placed at the upper section, D (down): channels placed at the lower section. The number following the letter represents the number of tangential channels (8, 6, or 4).
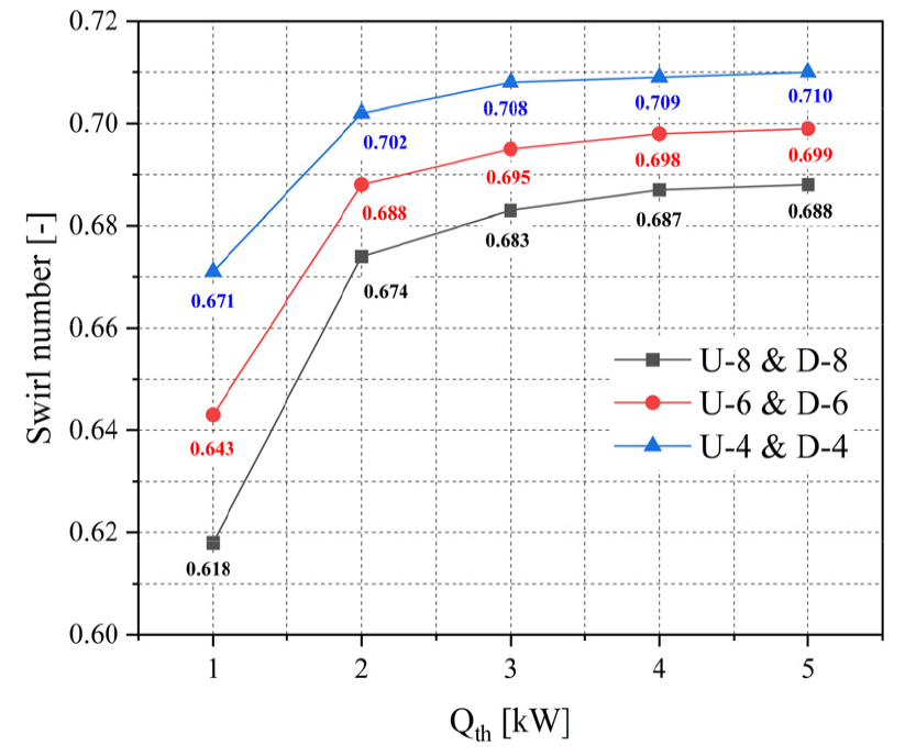
Fig. 4는 Table 2에 제시된 순수 암모니아 조건에서 부하(1-5 kWth) 변화에 따른 S값의 변화를 스월러 형상별로 비교한 결과를 나타낸다. 본 연구의 형상 조건에서는 채널 수가 감소할수록 S가 증가하는 경향을 보였다. 부하가 증가함에 따라 모든 형상에서 S는 완만히 상승하였으며, 특히 1-2 kWth 구간에서 상승 폭이 상대적으로 크게 나타났다. 이후 3 kWth 이상에서는 증가율이 점차 완만해지며 약 ±0.01 이내의 변동 폭으로 수렴하였다. 채널 수가 적은 형상(U-4, D-4)은 동일 부하에서 U-6, D-6 및 U-8, D-8 형상보다 높은 S값을 유지하였으며, 이는 접선 제트의 단면적 감소로 인해 유속이 증가하고 접선 운동량이 중심축 방향보다 상대적으로 우세해진 결과이다. 반면 U-8, D-8은 운동량이 방위각 방향으로 균등하게 분산되어 스월 강도가 낮게 형성되었다. 요약하면, 부하 증가 시 스월수는 초기 구간에서 민감하게 상승하나, 중·고부하 영역에서는 형상별 위계가 유지된 채 포화 거동을 보였다. 이러한 결과는 이후 제시할 유동장 및 재순환 영역 분석에서 스월 구조에 따른 혼합 특성 차이를 설명하는 근거로 활용된다.

Fig. 4.
Variation of the swirl number (S) with thermal load (Qth) for different swirler configurations. At low load (1 kWth), the difference in swirl number among the configurations is approximately ΔS≈0.05, whereas at high load (5 kWth), the difference decreases to about ΔS≈0.02, indicating that the swirl intensity converges as the load increases.
2.2 수치적 접근
수치 해석은 상용 CFD 소프트웨어인 Ansys Fluent 2024 R2를 이용하여 암모니아–공기 혼합기의 비반응장(𝜙=1) 조건에서 수행하였다. 해석 목적은 스월러 채널 구조에 따른 유동장 분포와 혼합 특성을 이해하는 데 있다. 연소기의 고체 영역은 열전달 영향이 배제된 조건이므로 제외하였으며, 유체 영역만을 해석 대상으로 설정하였다. 유체 도메인의 외면은 벽 경계 조건으로, 입구와 출구는 각각 속도 입구와 압력 출구 조건으로 부여하여 완전 발달 유동 상태를 가정하였다. 격자는 Ansys Meshing 모듈을 활용하여 비정형 사면체 격자로 구성하였으며, 벽면 근처 유동의 점성 효과를 정밀하게 해석하기 위해 인플레이션 레이어를 적용하였다. 인플레이션은 smooth transition 기법을 이용하여 층간 성장 비율을 점진적으로 변화시켜 경계층 내 속도 구배를 안정적으로 포착할 수 있도록 하였다. 최종적으로 채택한 격자는 약 350만 개 수준이며, 전체 격자 품질은 왜곡도와 직교도 지표를 통해 평가하였다. 평균 왜곡도는 0.21, 평균 직교도는 0.76으로 나타나, 프로그램 가이드라인에서 제시하는 안정적 수치 해석 기준을 만족하였다. 또한, 격자 의존성을 최소화하기 위해 D-8 형상을 대상으로 격자 민감도 검토를 수행하였다. 격자 수를 단계적으로 변화시키면서 중심축 속도 분포, 노즐 출구 단면의 스월수(S), 연소실 내 재순환 영역 길이와 같은 주요 유동 변수들을 비교하였으며, 현재 격자 수준에서 이들 지표의 변화가 더 이상 유의미하게 감소하지 않는 것을 확인하여 본 격자를 기준 격자로 채택하였다. 이와 같은 검토를 통해 유선 및 에디 점성 분포가 격자 의존성이 과도하지 않은 조건에서 도출되었음을 확보하였다.
난류 해석은 k-ω SST 모델(two-equation Shear Stress Transport)을 적용하였으며, 본 모델은 점성 영역의 벽 근처 거동을 안정적으로 예측하고, 스월 유동과 같이 회전 및 전단이 복합된 흐름에서 높은 신뢰성을 확보할 수 있는 것으로 알려져 있다[14]. 화학 반응이 배제된 비반응성 조건에서 농도 분포를 확인하기 위해 species transport 모델을 적용하였으며, 반응항은 𝑅𝑖 =0으로 설정하였다. 압력-속도 연성에는 SIMPLEC(Semi-Implicit Method for Pressure-Linked Equations–Consistent) 알고리즘을 적용하여 압력장의 수렴 안정성과 연속방정식 해의 일관성을 확보하였다[15,16].
3. 결과 및 논의
3.1 가연한계 선도
Fig. 5는 당량비 및 부하 변화에 따른 가연한계 선도이며, 6종 스월러 중 가연한계 범위가 가장 넓은 (a) D-8과 가장 좁은 (b) D-4의 가연한계 선도를 보여준다. x축 당량비 𝜙=0.7-1.8 범위에서 Δ𝜙=0.05 간격으로, y축 부하 Qth= 1.0-5.0 kWth 범위에서 ΔQth=0.25 kWth 간격으로 설정된 조건 전 영역에 대해 실험을 수행하였다. 모든 실험은 각 스월러 형상 모두에 따라 동일한 조건에서 반복 수행하였으며, 각 조건에서 점화 가능 여부 및 화염 유지 여부를 기준으로 가연한계를 판정하였다. 음영부는 안정 화염이 유지되는 영역이며, 좌·우 경계는 각각 희박 및 과농 소염선을 나타낸다. D-8 형상에서 저부하(1-2 kWth) 구간의 희박 한계는 전역 당량비 0.8-0.9, 과농 한계는 1.6-1.7으로 가연한계 폭 Δ𝜙≈0.8-0.85 수준을 보인다. 반면 부하가 증가함에 따라 과농 측 한계가 전역 당량비 1.45 부근으로 이동하고, 희박 한계는 거의 변하지 않아 Δ𝜙는 0.55 이하로 감소한다. D-4 형상은 전 부하에서 희박 한계가 0.9-1.0으로 높게 형성되고, 과농 한계는 1.45-1.55 범위에 위치하여 전체 Δ𝜙≈0.45–0.55 수준으로 나타난다. 따라서 동일 부하 조건에서 D-8의 안정 폭이 D-4 대비 약 0.15–0.30 넓으며, 특히 저부하(1-2 kWth)에서의 안정 폭 차이가 가장 크게 나타난다. 또한 D-8의 경우 부하 전 범위에서 희박 한계가 𝜙<1을 유지하지만, D-4는 모든 부하에서 𝜙≥1 부근에서 소염이 시작되어 희박 연소 안정성이 낮은 특성을 보인다.
3.2 암모니아 전소 화염 거동
Fig. 6은 순수 암모니아 화염의 직접 촬영 이미지를 보여준다. 모든 촬영 조건은 f2.2 조리개값, 1/500s 노출 시간, ISO 100 감도로 고정하였으며, 실험은 부하 범위 1-5 kWth, 당량비 𝜙=1 조건에서 스월러 6종 변화에 따라 진행하였다. 저부하(1 kWth) 조건에서 모든 형상은 불완전한 착화와 약한 발광을 보이며, 화염이 버너 출구 근방에 짧게 부착되어 존재한다. 부하가 증가함에 따라 화염 길이와 밝기가 점진적으로 증가하며, 특히 U-8 및 D-8 형상은 연소기 중심축을 따라 상대적으로 균일하고 직립한 화염 구조를 나타낸다. 이는 다채널 구조에 의한 균질 유속 및 강한 접선 유동이 형성되어 재순환 영역이 안정적으로 유지되었기 때문으로 판단된다. U-6 및 D-6 형상은 고부하(4-5 kWth) 조건에서 U-8 및 D-8과 가시적으로 차이를 구분하기 힘들다. 그러나 저부하(1 kWth)로 갈수록 채널 수 감소에 따라 채널 내 평균 유속이 증가하고, 스월러 내측에서 유동 진동이 확대되었다. 이러한 진동 증가는 화염 신장률(strain rate)의 상승으로 이어져 화염의 국소적 소화를 유발하고[17], 결과적으로 화염 중심부 밝기 분포가 불균일하게 형성되었다. U-4 및 D-4 형상에서는 화염의 기저부 부착성이 약화되는 양상이 뚜렷하고, 특히 1-2 kWth 구간에서 간헐적인 부분 소염이 관찰되었다. 이는 채널 수가 감소하면서 형성된 국소 고속 제트가 방위각 불균일을 유발하여, 혼합 유동과 현열 재공급의 연속성을 저해한 결과로 해석된다. 전체적으로 부하가 증가함에 따라 모든 형상에서 화염 발광이 강화되고 기저부 부착이 더욱 안정화되는 경향을 보였다.
이러한 정성적 평가는 Fig. 7에 제시된 겉보기 화염 강도 분석을 통해 정량적으로 표현하였다. 측정은 직접 촬영된 화염 이미지를 흑백(8-bit) 데이터로 변환하여 평균 휘도 값을 정량화한 결과이며, 이는 화염 발광 응답성을 부하 변화 관점에서 비교하기 위함이다. 모든 스월러 형상에서 부하 증가에 따라 화염 강도는 거의 선형적으로 상승하였다. 1 kWth에서 약 0.005 수준이던 정규화 강도는 5 kWth에서 0.017 내외까지 증가하였으며, 전체적으로 약 3-4배의 상승 폭을 보였다. 저부하(1-2 kWth)에서는 화염의 강도 증가율이 완만하고, 3 kWth 이후부터 기울기가 뚜렷하게 커지며 발광이 급격히 강화되었다. 이는 부하 증가에 따라 연료 분사량과 반응 면적이 확장되고, 화염면이 연속화되면서 복사 발광이 증가하는 원인 때문으로 사료된다.
형상별 비교에서 U-8, D-8 그리고 D-6은 전 부하 구간에서 상대적으로 높은 강도를 보였고, U-4와 D-4는 낮은 값을 나타냈다. 이러한 차이는 단순히 스월수의 크기보다는 접선 분사 제트의 분포 특성과 화염면에 작용하는 신장률(stretch rate) 차이에 기인한다. 다채널 형상(U-8, D-8) 의 경우 접선 운동량이 방위각 방향으로 균등하게 분산되어, 버너 중심부의 전단과 곡률이 완화되고 화염면이 안정적으로 유지된다. 반면, 소수 채널 형상 U-4, D-4는 개별 제트의 유속이 높아져 국소 전단이 강해지고, 암모니아 화염의 낮은 연소 속도와 스트레치 민감도에 의해 부분 소염·재부착 현상이 발생하기 쉬운 구조를 형성한다[17,18]. 그 결과 동일한 부하에서도 발광 면적의 성장률이 제한되어 상대적으로 낮은 강도 증가율을 보인다. Fig. 7의 결과는 스월러 형상에 따라 화염의 부하-응답 특성(ΔI/ΔQth) 이 달라짐을 보여주며, 이는 화염 신장률에 대한 저항 특성과 스월러-노즐 간의 유동 상호작용에 의해 결정됨을 시사한다. 즉, 스월 구조의 설계에 따라 화염 안정성뿐만 아니라 부하 변동에 대한 응답성 또한 크게 영향을 받는 주요 인자로 작용함을 확인할 수 있다.
3.3 미분탄-암모니아 혼소 화염 거동
Fig. 8은 스월러 형상에 대한 미분탄–암모니아 혼소 화염의 부하 변화 시 직접 촬영 이미지를 보여준다. 촬영 조건은 Fig. 6과 같고, 검은색 구간은 화염이 소염되어 발광이 사라진 영역을 의미한다. 혼소 조건에서 화염 거동은 스월러 형상과 부하 변화에 따라 뚜렷한 차이를 보였다. U-8, D-8 형상에서는 전 부하 조건에서 화염이 안정적으로 유지되었으며, 화염 기저부에서부터 상부까지 연속적인 발광 영역이 형성되었다. 이는 연소된 미분탄이 암모니아 연료의 점화원으로 활용되면서, 암모니아의 낮은 연소 속도를 보완하여 화염 면을 유지하기 때문이다. 반면, U-6 형상은 2 kWth 조건에서 점화 후 약 1분간 화염이 유지되었으나 이후 점차 불안정해지며 소염되었다(blow-off). U-4, D-4 형상에서는 초기 점화조차 이루어지지 않았으며, 이는 접선 분사 채널 수가 적어 혼합 영역이 제한되고, 초기 화염핵 형성이 어려웠기 때문으로 판단된다.
이러한 경향은 혼소 시 연료 간 반응성 불균형과 공기/연료 혼합의 국소 불균일성에 의해 설명될 수 있다. 암모니아는 낮은 반응성으로 인해 고온 영역에서 연소된 미분탄 상호작용하며 연소가 진행되는데, 저부하에서는 미분탄의 반응 열이 충분히 누적되지 않아 암모니아 점화 전파가 억제된다. 또한, 혼합 및 재순환 강도가 약할 경우, 미분탄 입자 주위의 고온 영역이 안정적으로 유지되지 못해 소염이 조기에 발생한다. 특히, U-4, D-4 형상의 경우 스월러 채널 수가 적어 개별 채널의 접선 유속이 상대적으로 커지고, 이에 따라 스월수는 높아지지만 전체 혼합 영역은 오히려 제한된다. 강한 접선 제트는 화염을 중심축으로부터 바깥쪽으로 밀어내며, 내부 재순환 영역(Core Recirculation Zone, CRZ)의 구조를 불안정하게 만든다. 이로 인해 연료-산화제 혼합이 국소적으로 비균일하게 분포하고, 화염면이 간헐적으로 들뜨거나 부분 소염되는 거동을 보였다. 결과적으로 U-4, D-4 형상에서는 고강도 스월 유동이 오히려 화염 면을 분산시키고, 안정적으로 반응이 지속될 수 있는 고온 영역의 체류시간을 감소시켜 점화 실패 혹은 조기 소염으로 이어졌다. U-8, D-8 은 다채널 분사 구조로 인해 접선 방향 운동량이 방위각으로 분산되어 혼합이 원활하며, 형성된 재순환 영역이 미분탄 반응열을 유지시켜 화염 지속성을 확보하였다.
요약하면, 다채널 구조에서는 전 부하에서 안정 화염이 유지되었으나, 채널 수가 감소한 형상으로 갈수록 불안정성이 증가하였다. 이러한 결과는 암모니아의 낮은 반응성, 미분탄 열공급 특성, 그리고 스월러 구조에 따른 혼합 및 재순환 강도가 복합적으로 작용하여 혼소 화염의 안정 한계를 결정함을 시사한다.
Fig. 9는 Fig. 8의 혼소 화염 이미지를 기반으로 겉보기 발광 강도를 정량화한 결과를 나타낸다. 강도 산출에는 Fig. 7과 동일한 촬영·영상 처리 기법을 적용하였다. 전체적으로 부하 증가에 따라 강도는 단조롭게 상승하였으나, 상승 폭과 절대값은 스월러의 채널 위치(U/D)와 개수(8/6/4)에 따라 뚜렷한 차이를 보였다. U-8, D-8 경우, 두 조건 모두 전 부하에서 높은 강도를 나타냈으나, D-8이 U-8 대비 전체적으로 더 높은 절대 강도와 증가율을 보였다. 특히 4-5 kWth 구간에서 D-8의 발광 강도는 가장 빠르게 상승했는데, 이는 하부 채널 배치가 혼합의 초기 단계에서 미분탄 반응열을 보다 효과적으로 근원부로 재공급하여 연속적인 반응 영역을 확대시킨 결과로 해석된다. U-8은 혼합 성능은 우수하나, 초기 점화 근원부가 상대적으로 상부에 형성되어 저부하에서 강도가 다소 낮게 형성되었다. U-6, D-6에서는 D-6이 U-6보다 전 부하에서 일관적으로 높은 강도를 보였으며, 특히 3-5 kWth에서 그 차이가 뚜렷하게 나타났다. 이는 Fig. 8에서 확인된 것처럼 U-6의 저부하 화염핵 유지가 상대적으로 불안정하여 발광 면적의 성장률이 제한되기 때문이다. D-6은 하부 채널 배열에 의해 재순환 중심이 안정적으로 유지되며, 미분탄 반응열이 보다 효율적으로 누적되어 강도가 지속적으로 증가하였다.
U-4, D-4 모두 낮은 절대 강도를 보였지만, D-4가 U-4 대비 상대적으로 높은 강도와 완만한 증가 경향을 나타냈다. U-4는 Fig. 8에서 저부하 점화 실패·부분 소염이 빈번하게 발생한 것과 일관되게, 1-5 kWth 전 범위에서 낮은 강도 수준에 머물렀다. 반면 D-4는 혼합 영역이 제한적이긴 하나, 하부 채널 배열로 인해 최소한의 안정적 근원부 형성이 가능하여 U-4보다 약간 높은 증가율을 보였다. 그러나 두 형상 모두 다채널 형상 대비 발광 면적 확장이 제한되어 전체적으로 낮은 강도를 나타냈다.
요약하면, Fig. 9의 결과는 혼소 조건에서 8-채널>6-채널>4-채널의 기본적인 스월 구조 위계가 유지되면서도, U/D 배치에 따라 강도 수준과 증가율이 지속적으로 분리되는 경향을 보인다. 특히 하부 배치(D-type)가 상부 배치(U-type)보다 혼소 연소에서 일관된 우위를 보이며, 이는 미분탄 반응열의 공급 위치, 재순환 중심 위치, 근원부 화염핵 형성 위치 등이 상·하부 채널 배치에 민감함을 의미한다. 이러한 사실은 Fig. 8에서 관찰된 화염 구조 변화와 정합적이며, 혼소 조건에서는 스월 강도뿐 아니라 채널 배치 방향(U/D) 화염 지속성과 부하-응답성을 결정하는 중요한 설계 변수임을 시사한다.
Fig. 10에 도시된 정규화 겉보기 강도는 파이로미터의 유효 시야와 동일한 직경 2.5 mm의 원형 관심영역을 기준으로 산출하였다. 강도 역시 8-채널, D-6 조건에서 가장 높고 4-채널과 U-6에서 낮게 형성되어, 입자 온도와 겉보기 강도가 전반적으로 유사한 위계를 보인다. 다만 일부 구간에서 D-4와 U-6의 상대적 순위가 교차하는 차이가 존재하는데, 이는 두 물성의 계측 방식 차이에서 기인한 것으로 판단된다. 파이로미터는 특정 점의 복사 신호를 연속 시간 평균하여 안정된 값을 제공하는 반면, 겉보기 강도는 동일 조건 화염의 순간 영상 기반 평균값이므로, 고체 연료 특성상 비연속적으로 공급되는 미분탄 입자의 순간적 집적·산란에 더 민감하게 반응한다. 이러한 광학적 요동은 강도 값의 세부적인 차이를 유발할 수 있다. 겉보기 강도는 입자 주변에서 형성되는 석탄의 휘발분 화염(volatile flame)의 발광 특성과 직접적으로 연계되며, 휘발분 방출율·화염면 두께·산화 반응률의 변화를 민감하게 반영하는 지표로 알려져 있다[19]. 이러한 특성 때문에 화염 구조의 국소 반응성, 혼합 정도, 재순환 열원의 결속이 강화될수록 강도가 증가하는 경향을 보이며, 본 연구에서 관찰된 형상별 강도 차이 또한 이러한 물리적 메커니즘을 반영한 것으로 해석된다.
종합하면, 동일한 2.5 mm 공간 영역에서 비교했을 때 입자 온도와 겉보기 강도는 전체적으로 일관된 증가 경향을 나타내며, 특히 하부 다채널 형상(D-8, D-6)이 가장 우수한 수준을 보였다. 이는 스월러 구조가 혼소 화염의 국소 열역학적 반응성, 휘발분 화염 형성 및 유지, 그리고 화염핵 안정화에 지배적인 영향을 미침을 정량적으로 보여주는 결과이다.
3.4 비반응장 유동 및 혼합 특성 분석
Fig. 11은 스월러 형상에 따른 비반응장 유동과 난류 점성 분포를 비교한 결과로, 실험에서 화염 안정성이 가장 우수했던 8-채널 형상과 저부하에서 반복적으로 소염이 발생했던 4-채널 형상을 대표적으로 선정하여 해석을 수행하였다. 스월러 형상이 총 6종임에도 모든 형상을 포함하지 않은 이유는, 실험을 통해 안정성의 극단적 성능을 보인 두 형상을 중심으로 유동장의 구조적 차이를 비교, 규명하기 위함이다. 또한 부하 조건 역시 전체 범위(1-5 kWth) 중 최소 부하(1 kWth)와 정격 부하(5 kWth)를 대표로 선정하여, 부하 변화에 따른 스월 유동 특성 변화를 비교하였다.
최소 부하 조건에서는 유동의 모멘텀 부족으로 스월 강도와 재순환 영역이 충분히 발달하지 않으며, 이에 따라 스월러 형상별 유동 구조가 정격 부하 대비 불규칙한 형태를 보인다. U-4, D-4는 노즐 출구에서 접선 유속이 약 5 m/s 수준으로 형성되며, 이 제트가 중심부로 수렴하면서 노즐 상부 약 20-50 mm 구간에서 명확한 재순환 경로를 만든다. 이러한 유동장은 미분탄 입자가 유선에 의해 빠르게 중심 재순환 영역으로 이송되는 구조를 형성하며, 중심부 영역에 미분탄 입자가 국부적으로 집적되는 거동이 발생한다. 그러나 이러한 입자 집적은 저부하 조건에서 화염 안정성을 오히려 저해하는 방향으로 작용한다. 1 kWth 조건에서는 미분탄을 완전히 산화시킬 만큼의 열량이 충분히 공급되지 않으므로, 중심 영역에 축적된 미연소 입자가 다량 존재하게 된다. 이 미연소 입자는 도입부로부터 유입되는 산소를 우선적으로 소비하지 못하고, 오히려 산소를 추가로 암모니아 화염에 공급하는 효과를 일으킨다. 이는 순간적으로 해당 영역의 국소 당량비를 희박 방향으로 이동시켜, 미분탄+암모니아의 혼합연료가 설정된 당량비(𝜙=1)를 유지하지 못하게 만든다. 국소적인 희박화는 Fig. 8에서 4-채널 형상이 반복적으로 소염되는 거동과 정합되며, 저부하에서 화염이 성장·유지되지 못한 직접적인 원인으로 작용한다. 또한, 중심부로 입자가 집중되면서 순간적으로 질량이 증가하고, 이로 인해 국부 운동량이 증가하여 재순환 영역을 구성하는 유동장을 교란할 가능성도 존재한다. 즉, 강한 제트 수렴으로 인해 형성된 유동의 과도한 집중이 오히려 스월·재순환 구조를 불안정하게 만들고, 이는 화염 기저부에서의 반응층 유지에 불리하게 작용한다. 반면 8-채널 형상은 개별 제트가 약하고 넓게 분산되어 초기 교반 영역이 넓게 형성되며, 미분탄이 특정 지점에 급격히 집적되는 현상이 억제되어 저부하에서도 상대적으로 안정적인 점화·유지가 가능하였다. 이러한 차이는 Fig. 9에서 저부하 조건에서의 화염 강도와 발광 영역 차이로 확인된다.
정격 부하에서는 전체 유량 증가로 인해 스월 강도와 재순환 구조가 충분히 발달하여 형상 간 유동 패턴의 차이가 뚜렷하게 나타났다. 모든 형상에서 CRZ와 주변 재순환 영역(Side Recirculation Zone, SRZ)이 형성되지만, 그 규모와 대칭성은 스월러 형상에 따라 다르다. U-8, D-8은 다수의 접선 제트가 분산되어 유입되기 때문에 제트-제트 간 간섭이 완화되며, 그 결과 회전 중심(swirling core)이 안정적으로 발달하여 CRZ가 비교적 대칭적인 구조를 보인다. U-8과 D-8 모두 스월러 출구 바로 위 발산 노즐 벽면에서 속도가 최대 약 18-20 m/s까지 증가한 후, 연소실 하단에 형성된 CRZ의 외곽을 따라 연소실 벽면 방향으로 5-7 m/s 수준의 고속 전단층이 형성되며 CRZ와 SRZ를 동시에 둘러싸는 와류가 형성되었다. U-8은 접선 제트가 보다 높은 위치에서 유입됨으로써 회전 중심의 형성이 상부에서 시작되고, 상향 유동과 조기에 결합하여 CRZ가 동일 조건의 D-8 대비 약 두 배 이상 큰 규모로 연속적으로 확장되는 특징을 보였다. 반면 D-8은 접선 제트가 하부에서 집중적으로 유입되면서 회전 중심이 하부에서 먼저 강하게 형성되고, 초기 확장 제트에 의해 상향 유동이 부분적으로 교란되어 CRZ의 축방향 길이가 상대적으로 짧아지는 양상을 보인다.
U-4, D-4 형상은 접선 채널 수가 적어 개별 제트 유속이 증가하며, 발산 노즐 벽면 인근에서 18-20 m/s 수준의 고속 제트가 8-채널보다 뚜렷하게 집중된다. 이러한 운동량 집중은 상류 초입에서 유동을 벽면 방향으로 편향시키며, 동일 조건의 8-채널 형상 대비 SRZ 면적을 약 15-20% 확장시키는 결과를 보였다. 동시에 중심축 주변 압력 분포가 상류 방향으로 밀리면서, CRZ가 형성되는 위치가 8-채널 대비 약 8-12 mm 상류 쪽으로 이동하는 경향을 나타냈다. D-4는 접선 제트가 하부 채널에서 공급되어 반경 방향 암모니아 유량과 SA 유량을 비교적 빠르게 결합하여, U-4보다 각운동량의 체류시간이 더 길어지고 원심력 효과가 크게 강화된다. 그 결과 SRZ가 U-4보다 약 10 % 크게 발달하며, 벽면을 따라 아래쪽까지 연결되는 강한 역류가 형성된다. 이러한 구조는 일반적인 스월 유동에서 관찰되는 축대칭 CRZ를 만들어내기보다, 과도하게 확대된 SRZ가 중심축 인근의 축방향 운동량을 거의 소멸시키며, CRZ가 형성될 공간 자체를 차단하는 형태를 보인다. 따라서 CRZ에 비해 과도하게 비대해진 SRZ에 의해 연소실 하류 부근 요동이 증가하게 되고 화염 안정성을 저해하여 Figs. 9, 10에서 관찰된 바와 같이 4-채널 형상에서 겉보기 화염 강도 및 석탄 입자 온도가 낮게 나타나는 주요 원인으로 해석된다.
에디 점성(eddy viscosity)은 난류 운동에 의한 유효 점성 증가량을 나타내며, Fig. 11의 전 영역은 약 1.5×10-4-2.1×10-3 Pa·s 범위로 분포한다. 1 kWth 조건에서는 모든 형상에서 에디 점성의 최대값이 2.5×10-4 Pa·s 이하로 나타나며, 이는 전체 난류 생성이 매우 제한적임을 의미한다. 실제로 형상 간 차이 역시 분포 폭이 10-4 Pa·s 수준에서 거의 유사하여, 저부하에서의 소염 현상은 난류 생성량보다 재순환 구조와 입자 집적에 의한 당량비 변동에 더 크게 좌우되는 것으로 판단된다. 정격 부하에서는 형상별 에디 점성 분포 차이가 뚜렷해지며, 최대값은 약 1.3×10-3-2.0×10-3 Pa·s 범위로 증가한다. 8-채널 형상은 중심축을 따라 7×10-4-1.0×10-3 Pa·s) 수준의 연속적인 난류 대역이 형성되며, 좌우 대칭 구조가 유지된다. 이는 난류가 중심부에 넓게 확산되며 혼합이 균일하게 이루어진다는 것을 의미한다. 특히 U-8은 상부에서 회전 중심이 발달해 중심부 난류 대역이 상향으로 확장되는 반면, D-8은 하부 제트 영향으로 중심부 고난류 영역의 형성 위치가 다소 낮게 나타나는 정도의 차이를 보인다. U-4는 중심부에서 약 1.0×10-3 Pa·s의 국소적·불연속 고난류 영역이 발생하며, 중심부 난류가 하나의 연속된 대역을 이루지 못하는 특징을 보인다. D-4는 중심부에서 1.8×10-3 Pa·s에 근접하는 가장 높은 에디 점성 값이 세로 방향으로 집중된 구조로 나타난다. 이러한 수치는 8-채널 대비 약 1.7-2.5배 높은 국부 난류 강도에 해당하며, CFD 모델 및 실제 스월러 특성과 비교했을 때도 물리적으로 타당한 수준의 난류 증가량으로 해석 가능하다. 또한 D-4는 난류 분포가 중심부에 집중되어 있으면서도 좌우 대칭이 상대적으로 잘 유지되는데, 이는 하부의 강한 접선 제트가 중심축 방향으로 수렴하며 일정한 전단을 형성하기 때문이다. 그러나 이러한 국소 고난류(>1.5×10-3 Pa·s) 는 혼합을 넓게 확산시키기보다는 특정 영역에서만 운동량 교환을 과도하게 증가시키는 효과를 가져오며, 실제 연소에서는 화염 면의 분절, 요동 증가, 중심부 발광 축소로 연결된다.
4. 결 론
본 연구에서는 랩 스케일 미분탄–암모니아 혼소 연소기를 대상으로 접선 분사 채널 개수(8/6/4)와 배치 위치(상부 U / 하부 D)가 1-5 kWth 부하 범위에서 화염 안정성에 미치는 영향을 실험·수치적으로 조사하였다. 화염 이미징과 이색 파이로미터를 활용해 겉보기 복사 강도와 미분탄 입자 온도를 정량화하였다.
순수 암모니아 및 미분탄–암모니아 혼소 모두에서 8-채널 형상(U-8, D-8)은 전 부하 영역에서 안정 화염과 높은 복사 강도·입자 온도를 나타냈으며, 4-채널 형상(U-4, D-4)은 저부하에서 점화 실패와 조기 소염이 빈번했다. 동일 채널 수에서는 하부 배치(D형)가 상부 배치(U형)보다 혼소 화염의 겉보기 강도와 입자 온도가 높아, 미분탄 반응열의 하부 재순환이 암모니아 화염 근원부 안정화에 유리함을 확인하였다.
비반응장 CFD 결과, 8-채널 스월러는 축 대칭에 가까운 core recirculation zone과 균일한 난류 분포를 형성해 연료–산화제 혼합과 고온 가스 재순환을 넓은 영역에서 안정적으로 유지하는 반면, 4-채널 형상은 비대한 side recirculation zone과 국소 고난류 대역을 유발해 화염면 분절과 요동을 증가시키는 것으로 나타났다.
미분탄-암모니아 혼소 버너에서 충분한 채널 수(예: 8-채널) 확보, 접선 운동량의 방위각 분산, 하부 배치를 통한 반응열 재순환 강화가 부하 변동 조건에서 화염 안정성을 향상시키는 효과적인 설계 전략임을 도출하였다. 본 결과는 향후 미분탄–암모니아 혼소 버너 설계 시 화염 안정성 확보를 위한 기초 지침으로 활용될 수 있으며, 후속 연구로서 NOx, N2O, 미연소 암모니아 등 배기가스 성분 측정 및 대형 스케일로의 확장 검증을 지속적으로 수행할 계획이다.











