기 호 설 명
1. 서 론
2. 실험 설정
2.1 실험장치 및 방법
2.2 암모니아 크래킹 연료 조성비
2.3 실험장치 및 방법
3. 결과 및 고찰
3.1 슐리렌 기법을 통한 화염의 불안정성 파악
3.2 열손실이 폭발 압력과 폭발 시간에 미치는 영향
3.3 크래킹 비율에 따른 폭발특성 파악
4. 결 론
기 호 설 명
⍺ : Ammonia cracking ratio
Φ : Equivalence ratio
tc : Explosion time
qtr : Heat loss
V : Chamber volume
S : Chamber inner area
KG : Explosion index
Pmax : Maximum explosion pressure
Pad,max : Maximum adiabatic explosion pressure
(dP/dt)max : Maximum rate of pressure rise
1. 서 론
전 세계는 기후변화에 대응하기 위해 무탄소 연료로 이산화탄소를 배출하지 않는 수소와 암모니아를 이용하려고 노력하고 있다. 암모니아는 높은 점화에너지, 느린 층류 연소속도, 좁은 가연 한계로 인해 단독으로 사용하기 어렵다[1]. 이를 극복하기 위해 암모니아와 수소를 혼합하여 연소특성을 개선하려는 연구가 활발히 진행되고 있다. 수소는 낮은 점화에너지, 빠른 층류 연소속도, 넓은 가연한계를 가지고 있어 암모니아의 단점을 극복해줄 수 있다[2]. 이렇듯 수소의 혼합은 연소특성을 향상시키는 장점이 있지만, 수소의 높은 생산비용과 저장 특성 때문에 수소 함량이 증가하면 시스템의 경제성이 저하되는 문제가 존재한다. 또한, 수소 화염은 열-확산 불안정성, 유체역학적 불안정성이 관찰되며, 이 중 열-확산 불안정성은 연소 반응영역이 확장되어 폭발성을 강화시키는 주요 요인으로 작용한다[3]. 이러한 폭발성 강화는 위험성을 증가시키며, 이를 고려하지 않을 시 설비의 화재와 폭발 등 재산과 인명 피해를 입을 수 있어 암모니아/수소 예혼합 연료뿐만 아니라 새로운 연료를 적용하려는 설비에서는 연료의 폭발특성을 반드시 확인해야 한다[4].
암모니아와 수소 혼합연료의 폭발특성에 관한 연구는 활발히 진행되고 있다. Cheng 등[5]은 20 L의 정적연소기에서 암모니아/공기 또는 암모니아/산소의 혼합물에서 초기압력의 변화를 통해 폭발특성을 확인했다. 또한, Tseng 등[6]은 층류 연소속도가 15 cm/s 이하일 경우 부력에 의한 불안정성이 발생된다고 보고하였다. Deng 등[7]은 1.67 L의 정적연소기에서 암모니아/수소/공기의 수소함량, 당량비, 초기온도, 초기압력의 변화를 통해 최대 폭발 압력, 최대 압력 상승률, 폭발 지수, 최대 열 방출율에 대해 조사하였다. 해당 연구에서 최대 폭발 압력은 초기온도가 증가함에 따라 감소하고, 최대 폭발 압력, 최대 압력 상승률, 폭발 지수는 초기압력이 증가함에 따라 증가한다고 하였다. 또한, 최대 폭발 압력, 최대 압력 상승률, 폭발 지수, 최대 열 방출율과 당량비 사이의 관계는 3차 다항식으로 표현했을 때 가장 높은 상관성을 보인다고 보고했다. 한편, Cheng 등[3]은 암모니아/수소/공기 혼합물을 저압부터 고압(0.02-0.3 MPa)의 조건에서 당량비와 수소함량에 따른 폭발특성을 조사하였다. 이들 보고에 따르면 수소의 함량이 늘어남에 따라 최대 폭발 압력이 증가하고 최대 압력 상승률도 증가하며, 폭발시간이 감소하는 경향을 확인할 수 있었다. 또한, 최대 폭발 압력 및 최대 압력 상승률은 당량비 1.1일 때 최댓값을 갖고 감소한다. 이처럼 수소첨가는 부력 불안정성을 개선시키나, 유체역학적 불안정성과 열-확산 불안정성을 증가시킨다. 그런데 유체역학적 불안정성과 열-확산 불안정성은 화염 반응영역에서 주름과 세포화 구조를 촉진시켜 화염의 폭발특성을 강화시키는 것으로 확인되었다. 이처럼 암모니아에 수소를 첨가하는 연구는 활발하게 이어지고 있지만, 암모니아를 크래킹하는 경우 크래킹된 연료 안에 수소와 질소가 일정 비율로 함유하게 되는 암모니아 크래킹 연료에 대해 넓은 크래킹 범위에서의 폭발특성에 관한 연구와 안전성을 평가할 수 있는 폭발 지수, 수소의 첨가에 따른 열손실에 대한 연구는 부족한 실정이다.
따라서, 본 연구에서는 넓은 크래킹율(7-62%)에서 암모니아 크래킹 연료의 화염형상에서 가시적으로 확인할 수 있는 불안정성을 조사하였다. 또한, 열손실이 폭발특성에 미치는 영향, 폭발 지수 실험적으로 확인하였다.
2. 실험 설정
2.1 실험장치 및 방법
본 연구에서 사용한 원통형 정적연소기 및 슐리렌 장치의 개략도는 Fig. 1에 도시하였다. 연소기 내부 직경은 200 mm, 길이는 220 mm로 체적은 7 L이다. 연소기 내부를 확인할 수 있는 가시창은 직경 150 mm, 두께 40 mm의 석영 유리창으로 이루어져 있다. 화염의 점화를 위해 텅스텐 전극봉을 설치하였고 정적연소기 내에서 전파하는 화염을 관측하기 위해 슐리렌 장치를 사용하였다. 슐리렌 장치는 100 W 할로겐 광원과 슬릿, 2개의 광학거울, 나이프 엣지로 구성되어 있으며, 슐리렌 이미지는 고속카메라(Chronos 1.4, 1280 × 1024 resolution, 1000 fps)를 통해 취득하였다. 초기압력과 진공상태를 정밀히 설정하기 위해 상단에 압력센서(AEP Lab DMM, 1-20 bar, accuracy ≤ ± 0.5%)를 사용하였고, 연소기 내부의 최대 폭발 압력을 측정하기 위해 전자 압력계(Kister 601CAA, 0 - 250 bar, accuracy ≤ ± 0.5%)를 장착하였다. 가스 주입 시에는 미세조절 밸브를 이용하여 정밀도를 확보하였다.
실험 방법으로는 진공펌프를 통해 연소기 내부를 진공상태로 만들어 주었고, 분압법칙에 따라 낮은 몰분율을 가지는 수소/암모니아/질소/공기 순으로 미세조절 밸브를 통해 공급하였다. 또한, 연소기 내부의 유동 안정화와 균일한 혼합을 위해 가스를 공급한 이후 20분의 대기시간을 가졌다. 이후 전극봉에 6.5 mJ의 점화에너지를 공급하여 점화시켰다. 연소기 중앙에서 점화가 시작되어 미연가스 방향으로 전파되는 과정을 슐리렌 기법을 통해 취득하였다. 동시에 압력센서를 통해 폭발압력 값과 압력 거동을 취득하였고, 측정된 신호는 전하증폭기를 통해 증폭시킨 후 분석하였다. 본 연구에서 진행된 실험의 반복 횟수는 실험의 정확성을 위하여 최소 5회 이상 진행하였으며, 실험의 최댓값과 최솟값을 오차막대로 표시하였다.
2.2 암모니아 크래킹 연료 조성비
본 연구는 부분 크래킹된 암모니아 연료를 암모니아/수소/질소로 구성된 모사 연료를 이용하여 실험적으로 조사하였다. 실험에 사용된 가스는 모두 순도 99.999%의 고순도 가스를 사용하여 조사의 정확도를 확보하였다. 암모니아, 수소, 질소로 구성된 모사연료 중 암모니아 크래킹 비율인 ⍺는 아래의 식(1)으로 정의된다.
Yi는 질량분율을 의미하며, 정의에 따라 부분 크래킹된 암모니아의 화학양론적 연소에 대한 반응식은 아래의 식으로 표현된다[8].
Table 1에는 본 연구에서 조사된 크래킹 비율에 따른 연료 조성비를 나타내었다. 이전 연구[8]에서 Shohdy는 ⍺ = 10, 20, 28% 조건에서 화염의 길이, 희박조건에서의 화염날림 한계(lean blow-out limits), NOx 배출 등을 조사하였다. 또한, 저자는 암모니아 ⍺ = 10%일 때 NOx 농도에 미치는 영향은 무시할 수 있다고 하였다. Wiseman[9]은 메탄/공기 화염의 가연한계와 비슷한 ⍺ = 43% 조건에서 화염의 날림 속도를 DNS 결과와 비교하였고, 메탄/공기 화염에 비해 암모니아 크래킹 연료가 소화(extinction)에 더 유리하다고 하였다. Richter[10]은 크래킹율(⍺)이 16%인 암모니아 함량 72%와 64%에서 소화 스트레인율의 당량비 의존성에 대해 조사하였으며 연료 안정성과 소화 저항성에서 메탄/공기보다 안정성이 높다고 보고하였다. Kim[11]은 대향류(twin counterflow burner)에서 부분 크래킹 모사연료의 상호작용하는 대향류 예혼합화염에서 소화거동 특성과 화학적 상호작용 메커니즘에 대한 결과를 보고하였다. 이 조사에서는 크래킹율인 ⍺ = 16%의 암모니아 크래킹 연료가 희박조건에서 메탄(CH4) 연료보다 소화저항성을 의미하는 RSIB(resilience to strain-induced blow out)값이 더 크다고 하였다. Cheng[3]은 암모니아/수소 예혼합 화염에서 수소 함량에 따른 폭발특성을 조사하였다. 결과에 의하면, 수소함량이 50% 이상 증가할 경우 폭발특성은 수소함량에 비례하지 않는다고 보고하였다. Kim 등[12,13]은 메탄-공기 화염의 가연한계와 유사하다고 보고된 ⍺ = 28% 조건과 메탄-공기 화염의 층류 화염 특성과 유사한 ⍺ = 43% 조건의 폭발특성을 조사하였다. 하지만 더 넓은 암모니아 크래킹 범위에서 폭발특성에 관한 조사는 미흡하다. 따라서, 본 연구에서는 낮은 크래킹 비율 7%부터 높은 62% 범위에서의 폭발특성과 열손실 및 폭발 지수에 관하여 조사하였다.
Table 1.
Experimental conditions
| NH3 (%) | H2 (%) | N2 (%) | |
| ⍺ = 7% | 86.9 | 9.8 | 3.3 |
| ⍺ = 16% | 72.4 | 20.7 | 6.9 |
| ⍺ = 28% | 56.3 | 32.8 | 10.9 |
| ⍺ = 43% | 39.9 | 45.1 | 15.0 |
| ⍺ = 62% | 23.5 | 57.4 | 19.1 |
2.3 실험장치 및 방법
폭발 위험성을 평가하기 위해서는 핵심 매개변수를 정량적으로 분석하는 것이 필수적이다. 폭발을 평가하는 핵심 매개변수로는 폭발 시간(explosion time, tc), 최대 폭발 압력(maximum explosion pressure, Pmax), 열손실(heat loss, qtr), 최대 압력 상승률(maximum rate of pressure rise, (dP/dt)max), 폭발 지수(explosion index, KG) 등이 있다. Pmax는 점화가 일어난 후부터 연소기 벽면에 닿아 소화될 때까지의 압력값 중 최댓값이고, tc는 점화 순간부터 Pmax에 도달할 때까지의 시간이다[14]. qtr은 연소 과정에서 생성된 열에너지가 연소기 벽면, 센서 등 주변 환경으로 전달되어 시스템 내부에 남지 않고 외부로 빠져나가는 에너지의 양이다. KG는 가연가스 폭발강도를 정량적으로 나타내는 핵심 지표로, 폭발 위험성을 평가할 때 사용되는 변수이다. 점화가 시작된 후부터 화염이 연소기 벽면에 닿아 소화될 때까지의 압력을 압력센서를 통해 시간에 따른 압력 이력(history)을 얻을 수 있으며 이를 통해 핵심 매개변수들을 취득할 수 있다. 실험을 통해 얻은 압력 이력 경향을 확인하면 점화가 된 순간 압력이 급격하게 증가하다 연소기 벽면에 닿는 순간 압력이 감소했다가 초기 압력으로 돌아오는 경향을 확인할 수 있다.
Fig. 2는 ⍺ = 16%, 𝛷 = 1.0 조건에서 실험을 통해 얻은 원시 데이터(raw data)와 필터링한 데이터를 보여주는 그래프로 Fig. 2(a)는 에 대한 신호 거동이고, Fig. 2(b)는 dP/dt에 대한 것이다. (dP/dt)max는 KG를 구할 때 매우 중요한 변수인데, Fig. 2(b)를 보면 dP/dt의 raw data가 진동의 영향을 받아 평균값(filtered data) 주위로 흩어져 있는 것을 볼 수 있다. 만약 이러한 값을 그대로 사용하게 되면 데이터의 정확도가 떨어질 수 있으며, 이러한 문제점을 해결하기 위해서 스무딩 필터(smoothing filter)는 필수적이다. 이번 연구에서 압력 진동에 따른 편차를 처리하기 위해 Savitzky-Golay 방법을 이용하여 데이터를 처리하였다[15].

Fig. 2.
Comparison of smoothing filtered data and raw data using Savitzky-Golay method[14] at ⍺ = 16%, 𝛷 = 1.0.
3. 결과 및 고찰
3.1 슐리렌 기법을 통한 화염의 불안정성 파악
화염의 불안정성은 열-확산 불안정성, 유체역학적 불안정성, 부력 불안정성으로 나눌 수 있다[14,16]. 열-확산 불안정성은 열 확산 속도와 연료의 질량 확산 속도 간의 불균형에 의해 발생하게 되는데 이는 루이스 수(Le)로 설명할 수 있다. Le<1인 경우 열이 손실되는 속도보다 연료의 유입속도가 빨라지게 되며 이는 cellular structure 형성에 영향을 미쳐 불안정성이 강화되게 된다. 유체역학적 불안정성은 미연소 가스가 고온의 연소 가스로 변화할 때 발생하는 급격한 밀도 감소와 기체팽창에 의해 유도된다. 이는 화염면에 large-scale wrinkles를 형성하여 화염의 변형을 주도한다. 부력 불안정성은 중력과 부력의 작용으로 화염이 상승하는 속도가 발생하는데, 연소속도가 화염의 상승 속도보다 낮게 되면 화염이 연소기 상단으로 상승하게 된다. 부력 불안정성은 Froud number(Fr)로 정량화할 수 있으며 Fr가 작을수록 부력 불안정성이 강하게 나타나게 된다. 이 경우 화염의 부력 불안정을 극복하기 위한 연소속도는 15 cm/s 이상으로 알려져 있다[6].
본 연구에서는 슐리렌 기법을 이용해 취득한 화염 반응영역에 대한 이미지를 획득하였고, 이를 통해 가시적으로 확인할 수 있는 불안정성에 대하여 다루었다. 취득한 이미지는 Fig. 3로 각 당량비에 따른 화염 반응면의 변화를 크래킹 비율에 따라 나타낸 것이다. 각 이미지는 화염 반응면의 중심이 연소기 벽면으로 40 mm 떨어진 위치에 도달했을 때 취득한 이미지이다. 크래킹율인 ⍺ = 7%일 때 화염 반응영역의 중심이 전극봉보다 상단에 위치한 것을 볼 수 있는데, 이는 화염이 부력의 영향을 받은 부력 불안정성에 의한 것을 확인하였다. 부력의 영향은 𝛷= 1.1까지 당량비가 증가함에 따라 감소하다가, 해당 지점을 기점으로 다시 증가하는 양상을 보였다. ⍺ =16%일 경우에도 전반적으로 화염의 중심부가 전극봉을 기준으로 상단에 위치한 것을 확인할 수 있는데, 이 경우에도 부력 불안정성의 영향을 받는 것을 확인할 수 있다. ⍺ =16%의 연료 희박조건에서 화염면에 large-scale 주름이 관측되는데 이는 유체역학적 불안정성이 영향을 미치는 것으로 이해된다. 유체역학적 불안정성이 화염에 미치는 영향은 당량비가 증가함에 따라 감소하는 것도 확인할 수 있다. ⍺ = 62%의 경우 𝛷= 0.8부터 화염의 반응영역에 세포구조(cellular structure)가 관측되고, 당량비가 증가함에 따라 cellular structure가 줄어들고 결국 𝛷= 1.0부터는 large-scale wrinkles만 관측되었다. 이 경우에는 화염이 부력 불안정성의 영향을 받지 않는 것으로 확인되었다.
화염의 반응영역에 주름이 생기면 반응영역이 증가함에 따라 미연소 가스와 반응이 증가하고, 이에 따라 연소속도의 증가 및 Pmax, (dP/dt)max가 증가하는 등 폭발특성이 강화되게 된다. 이와 관련된 폭발특성에 대한 보다 자세한 내용은 3.2절에 기술한다.
3.2 열손실이 폭발 압력과 폭발 시간에 미치는 영향
연료의 폭발특성을 규명하고 최적의 연소 조건을 도출하기 위해서는 주요 운전 변수에 대한 민감도 분석이 선행되어야 한다. 특히 크래킹 비율과 당량비 변화는 폭발 위력 및 화염 불안정성에 복합적인 영향을 미친다. 이에 본 절에서는 암모니아 크래킹 모사 연료에서 이 두 변수를 변화시켰을 때 나타나는 폭발특성의 거동을 정량적으로 분석하고 논의한다.
Fig. 4는 각 당량비에 따른 Pmax값들을 보여주고 있다. 여기서 크래킹율 ⍺ = 28, 43%의 값들은 이전 연구[12,13]에서 진행한 실험 결과로 빈(emptied)삼각형과 빈 역삼각형 기호로 나타내었다. 본 연구에서 진행한 크래킹 비율 모두, 연료 희박 조건부터 당량비가 증가함에 따라 Pmax가 증가하다 𝛷 = 1.1에서 최댓값에 도달한 후 다시 감소하는 경향을 확인하였다. Cheng 등[3]은 암모니아 수소 혼합물의 Pmax가 𝛷 = 1.1에서 최댓값에 도달한다고 보고하고 있다. 본 연구에서 이전 연구[7]와 조성비가 일치하진 않지만, 𝛷 = 1.1에서 최댓값이 나오는 경향은 일치하는 것을 확인할 수 있다. 크래킹 비율이 증가함에 따라 Pmax값은 증가하게 되는데 ⍺ = 43% 와 ⍺ = 62%는 큰 차이가 없는 거동을 확인할 수 있다. 수소함량 50% 이상부터는 Pmax가 큰 차이를 보이지 않는다고 보고하였다. 본 연구에서도 ⍺ = 62%는 당량비에 따른 Pmax의 차이가 크지 않는 경향을 가지는데 이는 Fig. 3에서 화염 불안정성에 의한 cellular structure가 연소특성을 강화시키는 것으로 판단하고 있다. 이는 화염 반응영역의 유체역학적 불안정성에 의한 large-scale 주름보다 열-확산 불안정성에 의한 cellular structure가 나타날 때 연소특성이 더욱 강화되는 것이라 이해된다. ⍺ = 7%와 16%를 보면 당량비 증가에 따른 최대 폭발 압력의 상승률이 비슷한 것을 확인할 수 있는데, Fig. 3의 ⍺ = 16% 조건 관측되는 large-scale 주름은 연소특성에 큰 영향을 미치지 않는 것으로 확인되었다.
Fig. 5는 당량비에 따른 tc를 각 크래킹 비율에 따라 나타낸 것으로 ⍺ = 28, 43%는 이전 연구에서 조사한 결과를 빈 삼각형과 빈 역삼각형 기호로 나타내었다[12,13]. Fig. 5에서 보면 연료 희박조건부터 당량비가 증가함에 따라 tc가 감소하다 𝛷 = 1.1일 때 최솟값에 도달한 후 다시 증가한다. 또한, 크래킹 비율이 상승함에 따라 tc는 감소하는 것을 볼 수 있다. 이러한 결과는 크래킹 비율이 증가함에 따라 수소의 함량이 늘어나게 되고, 이에 따라 수소의 빠른 연소속도의 영향을 받아 tc는 감소하게 된다.
열손실은 연료의 폭발 위험성을 평가할 때 매우 중요한 지표로, 열손실의 크기에 따라 폭발특성을 평가하는 주요 매개변수에 큰 영향을 미친다. 연소속도가 느린 연료의 경우 화염의 전파시간이 길어져 고온의 가스가 벽면에 노출되는 시간이 증가하기 때문에 수소와 같이 연소속도가 빠른 연료 대비 열손실도 크고 열손실에 의한 압력강하효과가 더욱 뚜렷하게 나타나게 된다. 또한, 열손실이 크면 화염에서 발생한 열을 가스를 팽창시키는데 사용하지 못하고 연소기 벽면으로 전달되기 때문에 Pmax가 낮아지고, 열손실이 낮으면 화염에서 발생한 열이 가스를 팽창시키는 데 대부분 사용하여 Pmax가 높아지게 된다. 이렇듯 열손실이 커지면 화염 온도가 낮아지게 되고 화학 반응 속도를 저하시키게 된다. 열손실 Qtr은 식(3)에 의해 정의되는데, 실제 폭발온도를 측정하는 것이 어렵기에 본 연구에서는 식(4)을 통해 다음과 같은 식으로 qtr을 구하였다[17,18].
식(4)에서 S는 내부 면적, V는 연소실 체적, γ는 연소 가스의 비열비, Pad,max는 단열상태의 최대 폭발 압력, Preal,max으로 측정에 의한 실제 실험값이며, Pad,max는 Chemkin에서 HAN 메커니즘을 이용해 구한 값을 사용하였다[19].
Fig. 6은 크래킹 비율에 따른 열 손실을 당량비(𝛷)에 따라 나타낸 것이다. 크래킹 비율이 증가함에 따라 qtr은 감소하게 되는데, 주목할 만한 부분은 ⍺ = 28% 이상부터 당량비에 따른 qtr이 큰 차이가 나지 않는 것을 확인하였다. 이는 qtr은 화염이 전파되며 발생하는 현상으로, 크래킹 비율이 증가함에 따라 수소의 함량이 증가하고, 이에 따라 연소속도가 증가해 화염이 연소기 내부에서 빠르게 전파되었다가 사라지는 거동이다. 이로 인해, 수소함량이 많은 높은 크래킹 비율에서 열손실이 적게 나오는 결과로 나타나게 된다. Fig. 3의 ⍺ = 62%의 희박연료 조건에서 관측된 열-확산 불안정성은 연소특성을 강화시켜 qtr이 낮게 나오게 되었는데, 이러한 결과는 Fig. 4의 ⍺ = 62%에서 당량비에 따른 최대 폭발 압력의 경향으로 설명된다. 또한, Fig. 5의 tc의 결과는 Fig. 6의 ⍺ = 28% 이상의 크래킹 비율부터 당량비에 따른 열 손실의 차이가 줄어들어 나오는 결과로 이해된다.
이러한 특징들을 통해 결과적으로 열 손실은 수소의 함량이 증가함에 따라 낮은 열손실이 나오는 것을 확인할 수 있으며, 이는 최대 폭발 압력 및 폭발 시간에 직접적인 영향을 미치는 것을 확인할 수 있다.
3.3 크래킹 비율에 따른 폭발특성 파악
수소 및 암모니아와 같은 신규 무탄소 연료를 도입하는 산업 설비의 구축 과정에서는, 잠재적인 폭발 위험성을 사전에 배제하기 위한 보수적이고 정밀한 안전 설계가 선행되어야 한다. 특히 수소와 같은 반응성이 빠르고 높은 혼합연료의 연소 과정에서 발생하는 화염 불안정성은 폭발 압력과 압력 상승률을 비선형적으로 증폭시키는 폭발 강화 현상을 유발할 수 있으므로, 이에 대한 안전성 고려가 누락될 경우 설비의 내압 한계를 초과하는 파손이나 대규모 화재와 같은 치명적인 산업 재해로 직결될 위험이 있다. 따라서 이러한 폭발 위험도를 객관적으로 정량화하고, 이에 기반한 적정 방폭 설계를 수행하기 위한 핵심 지표로서 폭발 지수를 활용한 체계적인 안전성 평가가 필수적으로 요구된다.
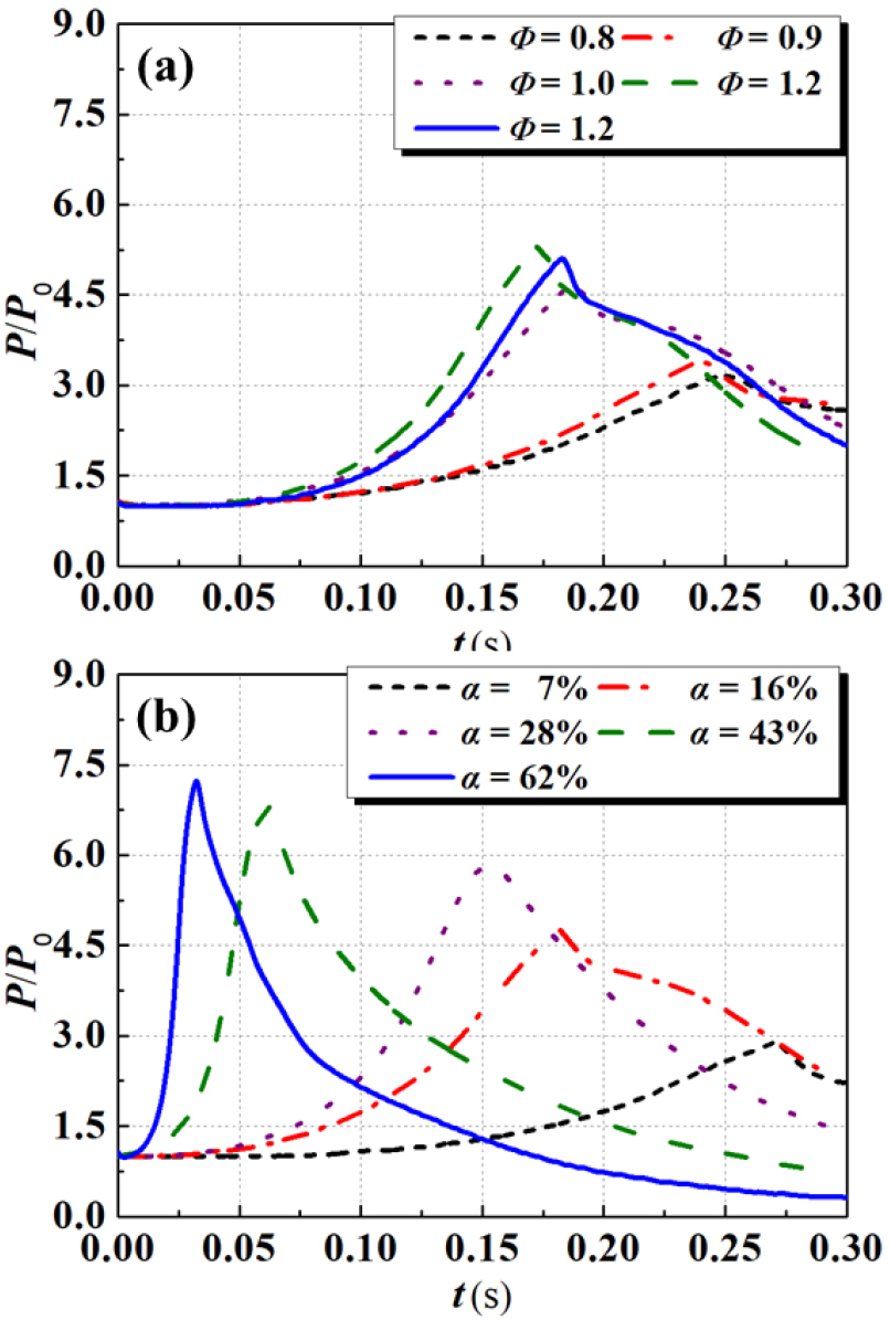
Fig. 7은 압력 거동을 점화에너지가 공급된 순간부터 나타낸 것으로 Fig. 7(a)는 ⍺ = 16%일 때 당량비에 따라, Fig. 7(b)는 𝛷 = 1.0일때의 각 크래킹 비율인 ⍺에 따른 압력거동을 나타낸 것이다. ⍺ = 28, 43%는 이전 연구[12]에서 진행한 실험 결과이다. 점화 에너지가 공급된 순간부터 최대 폭발 압력까지 도달한 시간이 tc이고, 압력거동에서 기울기가 최대일 때의 값이 (dP/dt)max이다. Fig. 7(a)에서 (dP/dt)max값은 당량비가 증가함에 따라 값이 증가하다 𝛷 = 1.1이후 다시 감소하는 것을 기울기의 변화를 통해 가시적으로 확인할 수 있다. (dP/dt)max이 클수록 최대 폭발 압력도 높고, 최대 폭발 압력까지 도달하는 시간도 줄어드는 것을 Table 2, Fig. 4, Fig. 5를 통해 확인할 수 있다. Table 2는 (dP/dt)max값을 당량비와 크래킹 비율에 따라 나타낸 것이다. Fig. 7(b)에서는 크래킹 비율이 증가함에 따라 Pmax에 도달하는 시간이 줄어드는 모습을 확인할 수 있다. 또한, 낮은 크래킹 비율부터 (dP/dt)max값이 크래킹 비율이 커짐에 따라 급격하게 커지는 것을 Table 2에서 확인할 수 있다.
Table 2.
Maximum pressure rise rate((dP/dt)max) with various cracking and equivalence ratios
| Φ = 0.8 | Φ = 0.9 | Φ = 1.0 | Φ = 1.1 | Φ = 1.2 | |
| ⍺ = 7% | 21 | 38 | 40 | 54 | 53 |
| ⍺ = 16% | 47 | 57 | 72 | 86 | 83 |
| ⍺ = 28% | 97 | 116 | 128 | 135 | 119 |
| ⍺ = 43% | 223 | 262 | 288 | 299 | 226 |
| ⍺ = 62% | 437 | 561 | 636 | 673 | 627 |
KG는 식(5)으로 정의되며, V는 연소기 내부의 체적 (dP/dt)max는 최대압력상승률이다. NFPA 68(Standard on Explosion Protection by Deflagration Venting)에서 KG가 200 이하일 경우 약한 폭발, 200에서 300이면 강한 폭발, 300 이상이면 매우 강한 폭발로 규정하고 있다[20]. 메탄의 경우 55, 암모니아의 KG의 경우 10-20, 수소의 경우 550 정도로 알려져있다. 이에 따라 부분 크래킹된 암모니아 화염의 폭발 지수를 파악하는 것이 안전성 확보에 매우 중요하다.
Fig. 8은 당량비에 따른 KG를 크래킹 비율에 따라 나타낸 것으로 ⍺ = 28, 43%는 이전 연구에서 진행한 실험 결과로 빈 삼각형과 빈 역삼각형 기호로 나타내었다[12,13]. KG는 연료 희박조건에서부터 증가하다 𝛷 = 1.1에서 최댓값을 갖고 감소하게 된다. 또한 크래킹 비율이 증가함에 따라 KG는 커지고, 크래킹 비율이 증가할수록 KG의 차이는 점차 커지는데, 그 수치는 𝛷 = 1.1기준, 각 크래킹 비율 기준 34.0%, 36.6%, 54.9%, 55,2%이다. 이러한 결과는 식(3)과 Table 2을 보면 알 수 있다. KG에서는 (dP/dt)max가 지배적인데, 크래킹 비율이 증가함에 따라 (dP/dt)max가 커지기 때문이다. 또한, 당량비의 증가에 (dP/dt)max가 커지다 𝛷 = 1.1에서 최댓값에 도달한 후 감소하기 때문이다.
폭발 지수가 최대 폭발 압력과 폭발 시간처럼 열 손실의 경향을 따르지 않는 이유는 ⍺ = 43% 이상부터 최대 폭발 압력은 크게 증가하지 않는데 폭발 시간은 감소하기 때문에, 그 차이가 (dP/dt)max값을 통해 나타나고, 그 결과 폭발 지수가 Fig. 8에 나타나게 된 것이다.
4. 결 론
본 연구에서는 넓은 크래킹 범위에서의 폭발특성 및 폭발 지수를 실험적으로 조사하였고, 슐리렌 이미지를 통한 화염의 반응영역을 확인하여 가시적으로 확인할 수 있는 불안정성에 대해 다루었다. 또한, 열손실을 통해 폭발 주요 매개변수가 폭발특성에 미치는 영향을 확인하여 다음과 같은 결론을 얻었다.
1) 슐리렌 이미지에서 ⍺ = 7%에서는 부력 불안정성의 영향을 받고, ⍺ = 16%의 연료 희박조건에서는 유체역학적 불안정성이 발생되나 당량비가 증가함에 따라 영향이 줄어드는 것을 확인하였다. 또한, ⍺ = 62%에서는 열-확산 불안정성이 연료 희박조건에서 관측되다 𝛷 = 1.1부터 유체역학적 불안정성의 영향을 받는 것을 슐리렌 이미지를 통해 가시적으로 확인하였다.
2) 최대 폭발 압력의 경우 크래킹 비율이 증가함에 따라 커지고, 연료 희박조건에서 𝛷 = 1.1까지 증가하다 감소하는 경향을 확인하였다. ⍺ = 48% 이상부터 당량비에 따른 최대 폭발 압력의 차이가 거의 나지 않는 것을 확인하였는데, 이는 ⍺ = 48% 이상부터 당량비에 따른 열 손실의 차이가 거의 나지 않기 때문이었다. 또한, ⍺ = 48%와 ⍺ = 62%의 최대 폭발 압력의 차이가 크지 않은 이유는, 두 조건에서 크래킹 비율에 따른 열 손실의 차이가 크지 않기 때문이다. 또한, 열-확산 불안정성에 의해 생긴 화염의 세포구조 발달로 인해 연소특성이 강화되었고 이에 따라 ⍺ = 62%에서 당량비에 따른 최대 폭발 압력의 차이가 나지 않는 것을 확인하였다.
3) 점화에너지가 공급된 순간부터 최대 폭발 압력까지 도달한 시간인 폭발시간은 크래킹 비율이 증가함에 따라 낮아지고, 당량비가 1.1일 때 최소값을 가졌다. 이러한 결과 또한 열 손실의 영향을 받은 것으로 확인되었다.
4) 최대 압력 상승률과 연관있는 폭발 지수는 크래킹 비율이 증가함에 따라 증가율이 커지는 것을 확인하였다. 최대 압력 상승률이 최대 폭발 압력과 폭발 시간의 경향과 차이가 나는 것은 ⍺ = 48% 이상부터 최대 폭발 압력의 변화가 적은 반면 폭발 시간은 감소하였기 때문이다. ⍺ = 62%에서 최대 폭발 압력이 200 이하로 비교적 약한 폭발강도를 가지고 있는 것을 확인하였다.









