1. 서 론
기후 위기의 심화로 탄소중립 달성을 위한 신속한 대응이 요구되고 있다. 수송 부문은 전 세계 온실가스 배출의 약 23%를 차지하는 주요 배출원으로[1], 탈탄소화를 위한 대체 연료 및 관련 기술 개발이 필수적이다. 세계 주요국은 2050년 탄소중립을 목표로 무공해차 보급을 확대하고 있으나, 미국 에너지관리청(EIA)은 2050년에도 내연기관차가 여전히 전 세계 차량의 70% 이상을 차지할 것으로 전망하고 있다. 이는 단기간 내 내연기관의 전면적 대체가 현실적으로 어려움을 시사하며, 기존 내연기관의 지속적 활용을 전제로 한 실효적 탄소중립 기술 확보의 필요성을 보여준다.
한편, e-Fuel과 같은 재생합성연료는 기존 내연기관을 활용한 실질적인 탈탄소 대안으로 주목받고 있다[2,3]. 재생합성연료는 재생에너지를 기반으로 생산된 수소와 대기 중 이산화탄소를 합성하여 제조하는 탄소중립 연료로, 연소 과정에서 배출된 이산화탄소가 다시 연료 생산에 활용되는 탄소 순환 구조를 갖는다[4]. 이러한 특성으로 인해 재생합성연료는 기존 가솔린을 대체하면서도 추가적인 탄소 배출 증가 없이 내연기관 운용이 가능하다는 장점이 있다.
연소 메커니즘 관점에서 재생합성연료의 핵심적인 특징은 연료 제조 단계에서 화학적 조성과 물성을 정밀하게 제어할 수 있다는 점이다. 특히, 올레핀 및 방향족 화합물과 같이 화염 내 그을음 전구체(soot precursor) 생성에 크게 기여하는 성분의 함량을 저감할 수 있어, 화염 전파 특성, 연소 온도 분포, 그리고 국부적 농후 영역에서의 불완전 연소 거동에 직접적인 영향을 미칠 수 있다. 또한 연료 조성 변화는 증발 특성 및 혼합기 형성 과정을 변화시켜 점화 지연, 화염 안정성, 연소 속도 등에 영향을 미치며, 이는 일산화탄소(CO), 질소산화물(NOx), 입자상물질(PM) 및 미규제 유해 배출물 생성 메커니즘의 변화로 이어질 수 있다. 따라서 합성연료의 연소 특성은 단순한 탄소중립 연료 대체의 관점을 넘어, 배출 저감 측면에서의 연소 제어 가능성을 내포하고 있다. 그러나 합성연료는 아직 상용화 초기 단계에 있으며, 연료의 물성 및 성분 조성이 실제 연소 및 배출 특성에 미치는 영향에 대한 실험적 검증은 충분하지 않다. 기존 연구는 주로 전과정평가(life cycle assessment, LCA)를 통해 생산 단계에서의 탄소 저감 효과를 분석하는 데 집중되어 왔으며, 실제 엔진 또는 차량 조건에서 연료 조성 변화에 따른 배출가스를 정량적으로 평가한 사례는 제한적이다. 일부 실차 기반 연구로 POSYN 프로젝트 등이 보고된 바 있으나[5,6], 다양한 주행 조건에서 연료 성분 차이가 배출 특성에 미치는 영향을 체계적으로 분석한 연구는 여전히 부족한 실정이다.
차대동력계를 활용한 실차 기반 배출 시험은 엔진 단독 시험으로는 반영하기 어려운 실제 주행 조건에서의 부하 변동, 과도 운전, 냉시동 효과 등을 포함할 수 있어, 연료 조성 변화에 따른 연소 및 배출 거동을 종합적으로 평가할 수 있다는 학술적 의의를 지닌다. 특히, FTP-75, HWFET, SC03, US06과 같은 주행모드는 저부하, 고부하 및 급가속 조건을 포괄함으로써, 연료 성분 차이가 주행 조건별 연소 안정성과 배출 생성 특성에 미치는 영향을 비교·분석하는 데 적합하다.
이에 본 연구에서는 성분 조성이 다른 세 종류의 모사 합성가솔린(e-Gasoline)을 제조하고, 이를 차량에 적용하여 차대 동력계에서 연소 및 배출 특성을 비교·분석하였다. 다양한 주행 모드에서 규제 배출물뿐만 아니라 미규제 배출물 특성을 함께 평가함으로써, 연료 성분 차이에 따른 연소 메커니즘 변화와 배출 특성 간의 연관성을 규명하고자 하였다.
2. 시험 장치 및 절차
2.1 차량 및 차대동력계 시스템
차대동력계 기반 배출가스 시험은 실제 주행 조건을 실내에서 정밀하게 재현함으로써, 연료 성분 변화에 따른 연소 및 배출 특성을 반복성과 재현성을 확보한 상태에서 평가할 수 있는 방법이다. 본 연구에서는 차량 질량, 공기 저항 및 구름 저항을 고려한 주행 저항 조건을 설정하여FTP-75, HWFET, US06, SC03 등 다양한 주행모드를 수행하였다. 이를 통해 저부하부터 고부하 및 급가속 조건에 이르는 주행 영역에서 연료 조성 차이가 배출 특성에 미치는 영향을 비교·분석하였다.
차대동력계는 CVS(constant volume sampler) 시스템과 결합되어 운전 중 발생하는 배출가스를 일정 유량 조건에서 희석·채취하였으며, CO, CO2, NOx, THC 등 규제 배출물과 함께 PM, 휘발성유기화합물(VOC), 카보닐화합물 등 미규제 배출물의 동시 측정을 가능하게 하였다. 이러한 시스템 구성은 연소 거동 변화가 규제 및 미규제 배출물 생성 특성에 미치는 영향을 종합적으로 평가하는 데 적합하다. 차량 전면에는 냉각팬을 설치하여 주행풍 조건을 모사하였으며, 배출가스는 희석 터널을 통해 전처리된 후 각 분석 장비로 이송되었다.
본 연구에 사용된 시험 차량은 배기량 1,497cc 엔진을 탑재한 FFV(flexible fuel vehicle) 가솔린 차량으로, 다양한 연료 조성 변화에 대응할 수 있도록 설계되었다. FFV 차량은 연료 성분 변화에 따른 연료 계통 및 연소계 내구성을 고려하여 설계되므로, 새로운 조성의 모사 합성가솔린을 적용한 연소 및 배출 특성 비교에 적합하다. 본 연구에 사용된 시험 차량의 주요 제원은 Table 1에 정리하였다. 자동차 배출가스 중 VOC는 TD-GC/MS(Thermal Desorber–Gas Chromatography/Mass Spectrometry)를 이용하여 분석하였다.
Table 1.
Specifications of test vehicle
| Vehicle details | Specification |
| Displacement [cc] | 1,497 |
| Max power [ps/rpm] | 115/6,300 |
| Max toque [kg·m/rpm] | 144/4,500 |
| Number of cylinders | 4 |
| Standard curb weight [kg] | 1,250 |
2.2 시험 연료
모사 합성연료는 Fischer–Tropsch(FT) 합성공정에서 도출되는 Anderson–Schulz–Flory(ASF) 분포 비율에 따라 탄화수소 성분을 구성하였으며, 각 모사 합성가솔린의 PIONA 혼합 비율 분석 결과는 Table 2에 나타냈다. 가솔린을 구성하는 탄화수소(HC) 성분 중 연소 과정에서 포름알데히드나 다환방향족탄화수소(PAHs)와 같은 유해 배출물 발생 잠재성을 높이는 올레핀과 방향족 화합물은 제외하였다[7]. Fuel 1은 iso- paraffin을 주성분으로 하여 전체의 80.61%를 차지하고, 다음으로 naphthene이 14.39%, 산소화합물이 5%를 구성한다. Fuel 1은 iso-paraffin의 함량이 높아 높은 연소 효율이 기대되지만 naphthene의 비율이 낮아 옥탄가가 상대적으로 낮을 수 있으며, 이를 보완하기 위해 옥탄가 향상용 첨가제로 5% MTBE가 사용되었다. Fuel 2 역시 iso-paraffin 함량이 67.07%로 높게 구성되어 있으며, naphthene의 비율이 27.93%로 Fuel 1에 비해 증가하였다. naphthene의 비율 증가로 인해 Fuel 2는 Fuel 1보다 낮은 증기압을 가지며, 이는 연소 과정에서의 안정성을 향상시킬 수 있다. 또한 Fuel 2도 마찬가지로 옥탄가 향상을 위해 5% MTBE가 첨가되었다. Fuel 3의 iso-paraffin은 48.78%로 크게 비율을 낮추었으며, naphthene의 비율을 51.22%로 높여 주성분으로 구성하였고, 별도의 산소화합물은 첨가하지 않았다. 높은 naphthene 비율로 인해 Fuel 3은 낮은 증기압을 나타내며, 따라서 연료의 휘발성이 감소할 수 있을 것으로 판단된다.
Table 2.
Hydrocarbon composition of three surrogate e-gasoline fuels
|
Hydrocarbon [vol. %] | Fuel 1 | Fuel 2 | Fuel 3 |
| iso-paraffins | 80.61 | 67.07 | 48.78 |
| naphthenes | 14.39 | 27.93 | 51.22 |
| oxygenates | 5 | 5 | 0 |
Table 3은 가솔린 및 모사 합성가솔린 3종의 물리·화학적 특성을 비교한 결과를 나타낸 것이다. 밀도는 Fuel 3이 734.3 kg/m3으로 가장 높게 나타났으며, Fuel 1이 696.4 kg/m3으로 가장 낮았다. 저위발열량(LHV)은 42.98 MJ/kg인 가솔린에 비해 합성연료가 전반적으로 높게 나타났으며, 특히 Fuel 3이 44.20 MJ/kg으로 가장 큰 값을 보였다. 증기압은 가솔린이 59.9 kPa로 가장 높고, Fuel 3은 27.28 kPa로 가장 낮아 기화성이 현저히 떨어졌다. 또한, 옥탄가는 가솔린이 91에 불과한 반면, 모사 합성가솔린은 모두 94 이상으로 우수한 노킹 저항성을 나타냈으며, Fuel 3이 97.57로 가장 높게 나타났다. 공기-연료비(AF ratio)는 약 14.3-14.5로 연료 간 큰 차이는 없었다. 한편 산소 함량은 MTBE 첨가로 인하여 Fuel 1과 Fuel 2는 각각 0.97%, 0.96%였고, Fuel 3은 산소 성분을 포함하지 않는다. 모사 합성가솔린 대부분의 특성은 한국의 연료품질기준을 만족하도록 설계되었으나, 다양한 구성성분에 따른 배출 특성을 비교하기 위해 설계된 연구의 목적상 Fuel 3의 증기압은 예외적으로 연료품질기준을 충족하지 못하였다.
Table 3.
Comparison of physical and chemical properties of gasoline and surrogate e-gasoline
3. 시험 결과
3.1 규제 배출가스 특성
3.1.1 주행 모드별 실시간 배출가스 특성
Fig. 1은 주행 모드별 실시간 THC 배출 농도를 나타낸 것이다. FTP-75 모드에서는 모든 연료에서 냉간 시동 구간 동안 THC 배출이 급격히 증가하는 경향이 관찰되었으며, 이는 촉매 활성화 이전 저온 연소 조건에서 미연탄화수소의 산화가 제한되기 때문으로 판단된다. 모사 합성가솔린 3종은 가솔린 대비 냉간 시동 구간에서 각각 9.9%, 9.4%, 14.9% 높은 THC 배출량을 나타냈다. 이는 올레핀 및 방향족 성분 제거로 인해 증기압이 저하되어 연료 기화성이 감소하고, 시동 초기 혼합기 형성이 불균일해진 결과로 해석된다. 이러한 결과는 합성연료 적용 시 냉간 시동 배출 특성이 조성 최적화의 핵심 과제임을 시사한다.
모든 연료에서 냉간 시동 구간의 THC 배출량은 FTP-75 전체 배출량의 88.18%를 차지하여 과도 및 열간 시동 구간 배출을 지배하는 것으로 나타났다. 이는 모사 합성가솔린 역시 기존 가솔린과 유사하게 냉간 시동 조건이 THC 배출 특성에 가장 큰 영향을 미침을 의미한다. HWFET 모드에서는 일정한 속도 조건으로 인해 THC 배출 농도가 전반적으로 낮게 유지되었으며, 가속 구간에서만 일시적인 증가가 관찰되었다. SC03 모드에서는 에어컨 작동에 따른 부하 증가로 인한 순간적인 THC 농도 상승이 나타났으며, FTP-75 다음으로 높은 최대 THC 농도를 보였다. 이때 모사 합성가솔린은 가솔린 대비 부분 부하 영역에서 THC 최대 농도가 낮게 형성되었는데, 이는 상대적으로 높은 옥탄가에 따른 연소 안정성 향상 효과로 판단된다. 특히 Fuel 1과 Fuel 2에 포함된 MTBE는 연소 과정에서 산소 공급원으로 작용하여 미연탄화수소의 산화를 촉진함으로써 THC 배출 변동을 완화하는 역할을 한 것으로 판단된다. US06 모드에서는 급가속 및 급감속이 반복되는 고출력 조건으로 인해 순간적인 THC 농도 상승이 뚜렷하게 나타났으며, 냉간 시동 구간을 제외하면 전체 THC 배출이 가장 높에 나타났다. 이는 연소실 내 온도와 압력이 급격히 변화하면서 최적의 연소 조건이 유지되지 못하기 때문으로 해석된다. 전반적으로 모사 합성가솔린은 가솔린 품질 기준을 만족하도록 설계되어 주행 모드 변화에 따른 실시간 THC 배출 거동은 연료 간 차이보다 운전 조건의 영향이 지배적인 것으로 나타났다.
Fig. 2는 주행 모드별 실시간 CO 배출 농도를 나타낸 것이다. 모든 연료에서 냉간 시동 구간의 CO 배출량은 열간 시동 구간 대비 평균 약 5.4배 높게 나타났으며, 이는 연료 증발 불충분 및 촉매 비활성 상태에서의 불완전 연소에 기인한다. 모사 합성가솔린의 냉간 시동 CO 배출량은 가솔린 대비 평균 약 10.12% 증가하였으며, 특히 증기압이 가장 낮은 Fuel 3은 열간 시동 구간에서도 가솔린 대비 약 108.8% 높은 CO 배출을 보였다. 이는 높은 나프텐계 탄화수소 비율로 인해 혼합기 형성이 불균일해지고 연소 안정성이 저하된 결과로 판단된다. CO는 모든 주행 보드에서 급가속 및 급감속 구간에서 순간적인 농도 상승을 보였으며, HWFET 모드에서는 안정적인 연소 조건으로 인해 가장 낮은 배출 수준을 나타냈다. SC03 모드에서는 에어컨 가동에 따른 엔진 부하 증가로 CO 배출이 상승하였으며, 이때 Fuel 3은 낮은 휘발성으로 인해 혼합기 형성 불균일이 심화되어 초기 CO 배출 증가가 두드러졌다. 반면 US06 모드에서는 고온 및 고압 조건이 유지됨에 따라 연료 간 증기압 차이에 따른 기화성 영향이 상대적으로 감소하는 경향을 보였다.
Fig. 3은 주행 모드별 실시간 NOx 배출 특성을 나타낸 것이다. THC 및 CO와 달리 NOx는 모든 주행 모드에서 냉간 시동보다 열간 시동 조건에서 현저히 증가하였다. 이는 연소 온도 상승에 따라 Zeldovich 메커니즘에 기반한 Thermal NOx 생성이 지배적으로 작용하기 때문으로 해석된다. HWFET모드에서는 고속·고부하 조건으로 인해 연소 온도와 체류 시간이 증가하면서 네 가지 주행 모드 중 가장 높은 NOx 배출이 관찰되었다. 모사 합성가솔린은 연료 내 질소 성분이 존재하지 않아 Fuel NOx의 기여는 미미하나, Fuel 1과 Fuel 2의 경우 MTBE 첨가로 인한 연료 산소 함량 증가가 연소 온도 상승을 유발하여 NOx 배출 증가에 영향을 미친 것으로 판단된다. 또한 US06 모드에서는 THC와 CO와 같은 환원성 성분의 감소로 인해 삼원촉매의 NOx 환원 반응이 제한되면서 NOx 배출이 증가하는 경향을 보였다. 이러한 결과는 합성연료 적용 시 연료 조성 변화에 따른 연소 특성과 촉매 반응 거동을 동시에 고려한 배출 제어 전략의 필요성을 시사한다.
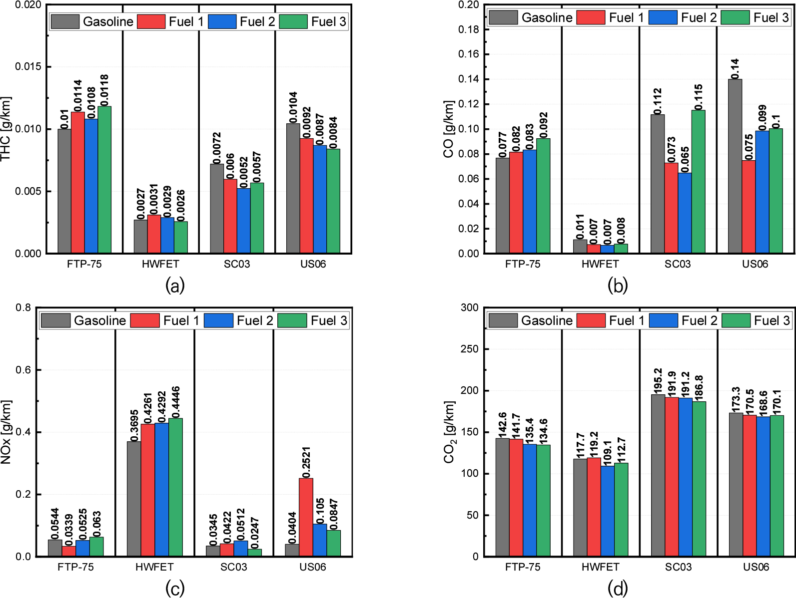
3.1.2 주행 모드별 누적 배출량 특성
Fig. 4는 3.1.1절의 실시간 배출 특성 시험과 동일한 주행 조건에서 채취한 배출가스를 Bag sampling 방식으로 분석한 주요 규제 물질의 누적 배출 특성을 나타낸 것이다. Fig. 4(a)에 제시된 THC 배출 특성에서는 모든 연료에서 냉간 시동 구간이 포함된 FTP-75 모드에서 가장 높은 배출량이 관찰되었으며, 이는 실시간 배출 결과와 정합적인 경향을 보인다. 모사 합성가솔린은 가솔린 대비 낮은 증기압으로 인해 냉간 조건에서 연료 기화가 제한되고, 흡기계 내 혼합기 형성이 불균일해짐에 따라 불완전연소가 증가한 것으로 판단된다. 이로 인해 초기 연소 반응이 완만하게 진행되고 촉매 활성화가 지연되면서, 촉매 후단 THC 정화 효율이 저하되어 가솔린 대비 높은 배출량이 나타났다. Fuel 1과 Fuel 2는 MTBE 첨가로 산소 함량이 증가하였으나, 냉간 조건에서는 기화 지연으로 인해 연소 개선 효과가 충분히 발현되지 못한 것으로 해석된다. 반면, SC03 및 US06 모드에서는 엔진 및 촉매 온도가 충분히 상승함에 따라 연소 효율과 촉매 산화 활성도가 모두 향상되어, 합성연료의 THC 배출이 가솔린보다 낮게 나타났다. 특히 iso-paraffin 함량이 높은 Fuel 1과 Fuel 2는 연소 안정성이 우수하여 완전연소가 촉진되고, 이에 따라 THC 배출이 효과적으로 억제되었다.
Fig. 4(b)는 주행 모드별 CO 배출 특성을 나타낸 것이다. 전반적인 경향은 THC와 유사하게 나타났으며, 냉간 시동 조건이 포함된 FTP-75 모드에서 모사 합성가솔린의 CO 배출이 가솔린 대비 증가하는 경향을 보였다. 특히 Fuel 3은 증기압이 낮고, 산소화합물을 포함하지 않아 불완전연소가 비교적 발생하기 쉬운 조건으로 FTP-75 모드에서 가솔린 대비 CO 배출이 약 19.5% 증가하였다. 반면 Fuel 1과 Fuel 2는 MTBE 첨가로 연료 내 산소 함량이 증가하여, 냉간 시동을 제외한 주행 모드에서 CO 배출이 가솔린 대비 감소하는 경향을 보였다. HWFET 모드에서는 엔진 및 촉매 온도가 충분히 상승하고 공기-연료비가 제어가 원활하게 이루어져, 모든 연료에서 CO 배출이 현저히 감소하였다. SC03 모드에서는 정차와 가속이 반복되는 조건에서 Fuel 3의 CO 배출이 다소 높게 나타났다. 이는 낮은 휘발성으로 인한 혼합기 불균일과 국부적 과농 연소 형성에 기인한 것으로 판단된다. 전반적으로 올레핀 및 방향족 성분이 제거된 모사 합성가솔린은 냉간 조건을 제외한 대부분의 운전 조건에서 연소가 보다 원활하게 진행되어 CO 배출 저감 효과를 보였다.
Fig. 4(c)는 주행 모드별 NOx 배출 특성을 나타낸 것이다. 실시간 배출 특성과 누적 배출량 모두에서 고속·고부하 주행이 많은 HWFET 모드에서 가장 높은 NOx 배출량이 나타났다. 반면 FTP-75 모드의 냉간 시동 구간에서는 연소 온도가 충분히 상승하지 않아 NOx 배출이 상대적으로 낮게 나타났다. Fuel 1과 Fuel 2는 MTBE 첨가로 인한 연료 산소 함량 증가가 연소 온도 상승을 유발하여 NOx 배출이 증가한 것으로 해석된다. Fuel 3의 경우 높은 밀도와 발열량으로 인해 연소 시 에너지 방출이 증가하면서 NOx 배출이 다소 증가하였다. 특히 US06 모드에서 Fuel 1의 NOx 배출이 급격히 증가하였는데, 이는 iso-paraffin 함량이 높아 CO와 같은 환원성 불완전연소 생성물이 감소함에 따라, 삼원촉매에서 NOx 환원 반응이 제한되고 NOx slip이 증가한 결과로 판단된다.
Fig. 4(d)는 주행 모드별 CO2 배출 특성을 나타낸 것이다. 모사 합성가솔린은 모든 주행모드에서 가솔린 대비 평균 약 2.98% 낮은 CO2 배출량을 보였다. 이는 합성연료의 발열량(LHV)이 가솔린(42.98 MJ/kg)보다 높은 43.9–44.2 MJ/kg 수준으로, 동일한 에너지 출력을 위한 연료 소비량이 감소한 데 기인한 것으로 판단된다. 이러한 결과는 합성연료 제조 단계의 탄소 저감 효과뿐만 아니라, 실제 차량 운행과정에서도 CO2 배출저감에 기여할 수 있을 것으로 판단된다.
3.2 미량 유해물질 배출 특성
내연기관 배출가스는 규제물질 외에도 광화학 반응 및 2차 입자 생성에 기여하는 다양한 미량 유해물질이 포함되어 있다. 이 중 휘발성 유기화합물(VOCs, volatile organic compounds)과 카보닐화합물(carbonyl compounds)은 오존 및 2차 유기입자(SOA, Secondary Organic Aerosol)의 주요 전구물질로서 대기질 및 인체 건강 측면에서 중요성이 크다[8,9]. 특히 방향족 및 올레핀 계열 성분은 VOC 및 카보닐화합물 생성에 직접적으로 관여하는 연료 기원 물질로, 제조 단계에서 이들 성분을 제거한 모사 합성가솔린은 미량 유해물질 배출 저감 측면에서 구조적 이점을 가진다.
3.2.1 휘발성 유기화합물 배출특성
본 연구에서는 총 52종의 VOC를 대상으로 주행 모드 및 연료 조성 변화에 따른 배출 특성을 분석하였다. 분석 대상에는 알케인, 알켄, 방향족 화합물이 포함되며, 모사 합성가솔린을 구성하는 주요 성분 또는 함께 검출되어 연료 조성과 VOC 배출 간의 연관성을 평가할 수 있었다. VOC 배출량은 희석배출가스 농도를 기반으로 단위 주행거리당 배출량(mg/km)으로 환산하였다. Fig. 5에 나타난 바와 같이, 모든 연료에서HWFET 모드는 가장 낮은 VOC 배출량을 보였으며, 이는 고속·정속 주행 조건에서 연소 효율이 향상되고, 삼원촉매가 충분히 활성화된 결과로 해석된다. 반면, 냉간 시동 구간을 포함하는 FTP-75 모드에서는 전체 VOC 배출의 80% 이상이 냉간 구간에서 발생하였으며, 이는 엔진 및 촉매 온도가 낮은 상태에서 미연소 및 부분 산화 반응이 지배적으로 작용했기 때문이다.
SC03 및 US06 모드에서는 에어컨 부하, 급가속·급감속에 따른 공기-연료비 변동으로 연소 안정성이 저하되며 VOC 배출이 증가하는 경향을 보였다. 특히, Fuel 1 적용 시 US06 모드에서 관찰된 일시적 VOC 증가 현상은 고온 조건에서 MTBE의 열분해 및 2차 산화 반응에 기인한 것으로 판단된다. Fuel 2의 SC03 모드에서 나타난 배출 증가 역시 부하 전환 시 혼합비 제어 및 희석 조건 변화에 따른 순간적 농후 연소의 영향으로 해석된다. 이러한 결과는 과도 운전 조건에서 연료 조성과 연소 제어 전략이 VOC 배출 특성에 지배적인 영향을 미침을 시사한다.
3.2.2 카보닐 화합물 배출특성
카보닐 화합물은 탄화수소 연료의 불완전 연소 및 부분 산화 과정에서 형성되는 대표적인 산소화 유기화합물로, 연소 온도, 혼합비, 연료 조성에 따라 생성 특성이 크게 달라진다. 저온 또는 농후 혼합비 조건에서는 HC의 산화가 완결되지 못해 포름알데히드 및 아세트알데히드와 같은 저분자 알데히드가 우선적으로 생성된다. 또한 연료 내 산소화합물은 연소 과정에서 열분해 및 연쇄 산화 반응을 거치며 카보닐류 생성 경로에 직접적으로 관여한다[10,11].
Fig. 6에 제시된 13종의 카보닐 화합물 중 Acrolein과 Crotonaldehyde는 상용가솔린뿐만 아니라 모사 합성가솔린에서도 검출되지 않았으며, Hexaldehyde, Methacrolein, p-Tolualdehyde는 극미량 수준으로 확인되었다. 대부분의 카보닐 화합물은 냉간 시동 조건이 포함된 FTP-75 모드에서 상용가솔린이 모사 합성가솔린보다 높은 배출량을 보였다. 반면, 그 외의 주행 모드에서는 연료 간 배출량 차이가 크지 않았으며, 전반적으로 유사한 경향을 나타냈다. 모든 연료에서 HWFET 모드는 가장 낮은 카보닐 화합물 배출량을 보였으며, 이는 안정적인 연소 및 충분한 촉매 활성화에 따른 산화 반응의 완결성 확보에 기인한다. 반면, US06 모드에서는 Acetaldehyde, Formaldehyde, Butyraldehyde, Propionaldehyde의 배출이 현저히 증가하였는데, 이는 급가속 및 고부하 조건에서의 연소 불균일성이 확대된 결과로 판단된다. 특히 Fuel 1의 US06 모드에서 관찰된 카보닐 화합물의 급격한 배출 증가는 연료 내 함산소 화합물(MTBE)의 열적 분해 및 2차 산화 부산물이 주요 원인으로 작용한 것으로 판단된다.
종합적으로, 연료 내 산소화합물은 저분자 카보닐류 생성을 촉진하는 반면, 방향족 및 올레핀 성분은 고분자 알데히드류의 전구물질로 작용함을 확인하였다. 따라서 연료 조성 설계 시 산소화합물, 방향족, 올레핀 간의 균형 제어는 미량 유해물질 저감과 연소 특성 최적화를 동시에 달성하기 위한 핵심 요소로 판단된다.
4. 결 론
본 연구에서는 Fischer–Tropsch 합성연료의 조성적 특성을 반영하여 세 가지 조성의 모사 합성가솔린을 제조하고, 차대동력계 및 FFV를 이용하여 상용 가솔린과의 연소 및 배기 배출 특성을 비교·분석하였다.
1) 모사 합성가솔린은 냉간 시동 조건에서 낮은 증기압으로 인해 THC 및 CO 배출이 증가하였으며, 엔진 및 촉매 활성화 이후에는 연소 안정성이 향상되어 가솔린 대비 배출량이 감소하였다. 특히 iso-paraffin 함량이 높은 연료는 완전연소 촉진에 기여하였다. 증기압이 낮은 모사 합성연료의 초기 배출가스 저감을 위해서는 점화 시기 지각을 통해 배기 온도를 상승시켜 촉매 활성화 온도에 도달하는 시간을 단축하는 등과 같은 제어 전략이 동반되어야 할 것으로 판단된다.
2) MTBE가 첨가된 연료(Fuel 1, Fuel 2)는 산소 공급 증가로 연소 온도가 상승에 따른 NOx 배출 증가가 일부 관찰되었으나, 높은 발열량과 옥탄가로 인해 연료 소비량이 감소하여 CO2 배출이 평균 약 3% 저감되었다.
3) 방향족 성분이 제거된 모사 합성가솔린은 벤젠, 톨루엔 등 고위험 VOC 배출을 효과적으로 억제하였으며, 산소화합물의 존재는 고온 조건에서 저분자 카보닐 화합물 생성 증가로 이어질 수 있음을 확인하였다.
4) 본 연구 결과, 연료 조성 제어를 통해 합성가솔린의 연소 및 배출 특성을 개선할 수 있는 가능성을 확인하였다. GDI 차량 적용 및 합성연료 특성에 부합하는 촉매 시스템 최적화를 통해 실차 적용성과 상용화 가능성을 보다 구체적으로 검증할 필요가 있다.








